Оглавление
- Программное обеспечение
- Характеристики
- Провода и разъемы
- Длина проводов до разъемов питания
- Схемотехника и охлаждение
- Измерение электрических характеристик
- Работа на максимальной мощности
- Кросс-нагрузочная характеристика
- Нагрузочная способность
- Экономичность и эффективность
- Температурный режим
- Акустическая эргономика
- Потребительские качества
- Итоги
Блоки питания особо высокой мощности (от 1000 Вт) приобретают, как правило, для специфических задач — для специализированных тестовых систем, для высоконагруженных компьютеров для рендеринга, расчетов, а также для разгона. Впрочем, иногда такие источники питания приобретают, просто желая создать ощутимый запас по мощности для существующей системы или в расчете на будущий апгрейд. Стоимость подобных решений может сильно отличаться, что ставит покупателя перед непростой задачей выбора модели с нужным соотношением цены и потребительских качеств. Сегодня мы рассмотрим одно из доступных на рынке решений.
Топовый блок питания MSI MEG Ai1300P PCIE5 имеет сертификат 80+ Platinum и укомплектован исключительно японскими конденсаторами. Его система охлаждения по умолчанию работает в гибридном режиме, то есть при некоторых условиях вентилятор не вращается. Блок питания соответствует стандарту ATX 3.0 и позволяет питать очень мощные современные видеокарты через 16-контактный разъем PCIe 5.0 (12VHPWR). Дизайн выглядит весьма органично. Однако применение штампованной решетки над вентилятором чревато повышенным уровнем шума при работе. Сейчас тенденция такова, что штампованные решетки применяются всё чаще и чаще, так как они, видимо, проще в изготовлении, а БП с такими решетками чуть дешевле в производстве.
На корпусе блока питания присутствует разъем Mini-USB для подключения и ПК и взаимодействия с фирменным программным обеспечением MSI. В комплекте есть сразу два кабеля: один для подключения к внутренним портам USB 2.0 системной платы, а второй для внешних портов USB-A. К сожалению, нам почему-то не удалось «сопрячь» тестовый БП и фирменное ПО, так что можем лишь на словах рассказать об ожидаемых функциях: пользователь получает доступ к отслеживанию всех внутренних параметров БП, включая общее потребление и потребление с напряжением по разным линиям, эффективность преобразования, скорость вращения вентилятора и нагрев, с нарядными графиками всех процессов. Более важно, что можно переключить режим работы вентилятора с автоматического на пользовательский и настроить его под свои условия. Постараемся в будущем продемонстрировать это на другом блоке питания MSI.
Длина корпуса БП составляет около 160 мм, дополнительно понадобится 15-20 мм для подвода проводов, поэтому при монтаже стоит рассчитывать на установочный размер порядка 180 мм. Для блоков питания подобной мощности эти размеры можно считать довольно компактными.
Поставляется блок питания в картонной коробке с матовой полиграфией, которая выполнена преимущественно в черном и золотистом цветах.
Стоимость MSI MEG Ai1300P PCIE5 на момент подготовки обзора составляла в районе 30-40 тысяч рублей.
Характеристики
Все необходимые параметры указаны на корпусе блока питания в полном объеме, для мощности шины +12VDC заявлено значение 1300 Вт. Соотношение мощности по шине +12VDC и полной мощности составляет 100%, что, разумеется, является отличным показателем.
Провода и разъемы
| Наименование разъема | Количество разъемов | Примечания |
|---|---|---|
| 24 pin Main Power Connector | 1 | разборный |
| 8 pin SSI Processor Connector | 2 | разборные |
| 4 pin 12V Power Connector | — | |
| 16 pin PCIe 5.0 VGA Power Connector (12VHPWR) | 1 | |
| 8 pin PCIe 2.0 VGA Power Connector | 8 | на 7 шнурах |
| 6 pin PCIe 1.0 VGA Power Connector | — | |
| 15 pin Serial ATA Connector | 16 | на 4 шнурах |
| 4 pin Peripheral Connector | 4 | на 1 шнуре |
| 4 pin Floppy Drive Connector | 1 | |
Длина проводов до разъемов питания
Все без исключения провода являются модульными, то есть их можно снять, оставив лишь те, которые необходимы для конкретной системы.
- 1 шнур: до основного разъема АТХ — 61 см
- 2 шнура: до процессорного разъема 8 pin SSI — 70 см
- 1 шнур: до разъема питания видеокарты PCIe 5.0 VGA Power Connector (12VHPWR) — 60 см
- 1 шнур: до каждого из двух разъемов питания видеокарты PCIe 2.0 VGA Power Connector — 60 см (подключается в разъем 12VHPWR на корпусе блока)
- 6 шнуров: до разъема питания видеокарты PCIe 2.0 VGA Power Connector — 60 см
- 4 шнура: до первого разъема SATA Power Connector — 50 см, плюс 15 см до второго, еще 15 см до третьего и еще 15 см до четвертого такого же разъема
- 1 шнур: до первого разъема Peripheral Connector («молекс») — 50 см, плюс 15 см до второго, еще 15 см до третьего и еще 15 см до четвертого такого же разъема, плюс еще 15 см до разъема питания FDD
Длина проводов является достаточной для комфортного использования в корпусах типоразмера full tower и более габаритных с верхним расположением блока питания. В корпусах высотой до 55 см с нижнерасположенным блоком питания длина проводов также должна быть достаточной: до разъемов питания процессора — по 70 сантиметров. Таким образом, с большинством современных корпусов проблем быть не должно.
В комплекте имеется штатный шнур-переходник, у которого на одном конце разъем PCIe 5.0, а на другом — два разъема PCIe 2.0. Излишне говорить, что это очень удобно.
Блок питания позволяет подключить 16 устройств с питанием SATA Power, для чего в комплект входит четыре шнура. Подобное количество разъемов для подавляющего числа применений выглядит более чем достаточным.
Покрытие проводов выполнено из резиноподобного материала — понятно, что это пластик с присадками, но на ощупь похож именно на резину. Насколько хорошо и быстро на таком покрытии будет собираться пыль, мы без длительных экспериментов ответить не можем, но скорее всего пыль собираться будет, и довольно активно.
Сами провода мягкие и хорошо изгибаются, что косвенно свидетельствует о высоком содержании меди.
Схемотехника и охлаждение
Блок питания оснащен активным корректором коэффициента мощности и имеет довольно широкий диапазон питающих напряжений от 100 до 240 вольт. Это обеспечивает устойчивость к понижению напряжения в электросети ниже нормативных значений.
Конструкция блока питания вполне соответствует современным тенденциям: активный корректор коэффициента мощности, синхронный выпрямитель для канала +12VDC, независимые импульсные преобразователи постоянного тока для линий +3.3VDC и +5VDC.
Полупроводниковые элементы высоковольтных цепей размещены на нескольких радиаторах. Элементы синхронного выпрямителя установлены на дочерней плате, которая расположена вертикально с лицевой стороны основной печатной платы.
Независимые источники +3.3VDC и 5VDC установлены на дочерней печатной плате и, по традиции, дополнительных теплоотводов не имеют — это вполне типично для блоков питания с активным охлаждением.
В устройстве установлены конденсаторы исключительно японских торговых марок: Nippon Chemi-Con и Nichicon, а также большое количество полимерных конденсаторов.
В блоке питания установлен вентилятор PLA12025S12H-4, основанный на гидродинамическом подшипнике и изготовленный компанией Powerlogic. Подключение вентилятора — разъемное, трехпроводное, что указывает на наличие ШИМ-управления вентилятором.
Измерение электрических характеристик
Далее мы переходим к инструментальному исследованию электрических характеристик источника питания при помощи многофункционального стенда и другого оборудования.
Величина отклонения выходных напряжений от номинала кодируется цветом следующим образом:
| Цвет | Диапазон отклонения | Качественная оценка |
|---|---|---|
| более 5% | неудовлетворительно | |
| +5% | плохо | |
| +4% | удовлетворительно | |
| +3% | хорошо | |
| +2% | очень хорошо | |
| 1% и менее | отлично | |
| −2% | очень хорошо | |
| −3% | хорошо | |
| −4% | удовлетворительно | |
| −5% | плохо | |
| более 5% | неудовлетворительно |
Работа на максимальной мощности
Первым этапом испытаний является эксплуатация блока питания на максимальной мощности продолжительное время. Такой тест с уверенностью позволяет удостовериться в работоспособности БП.

Кросс-нагрузочная характеристика
Следующим этапом инструментального тестирования является построение кросснагрузочной характеристики (КНХ) и представление ее на четвертьплоскости, ограниченной максимальной мощностью по шине 3,3&5 В с одной стороны (по оси ординат) и максимальной мощностью по шине 12 В с другой (по оси абсцисс). В каждой точке измеренное значение напряжения обозначается цветовым маркером в зависимости от отклонения от номинального значения.



КНХ позволяет нам определить, какой уровень нагрузки можно считать допустимым, особенно по каналу +12VDC, для тестируемого экземпляра. В данном случае отклонения действующих значений напряжения от номинала по каналу +12VDC не превышают 1% во всем диапазоне мощности, что является отличным результатом. При типичном распределении мощности по каналам отклонения от номинала не превышают 2% по каналу +3.3VDC, 2% по каналу +5VDC и 1% по каналу +12VDC.
Данная модель БП хорошо подходит для мощных современных систем из-за высокой практической нагрузочной способности канала +12VDC.
Нагрузочная способность
Следующий тест призван определить максимальную мощность, которую можно подать через соответствующие разъемы при нормированном отклонении значения напряжения в размере 3 или 5 процентов от номинала.

В случае видеокарты с единственным разъемом питания максимальная мощность по каналу +12VDC составляет не менее 150 Вт при отклонении в пределах 3%.

В случае видеокарты с двумя разъемами питания при использовании двух шнуров питания максимальная мощность по каналу +12VDC составляет не менее 350 Вт при отклонении в пределах 3%, что позволяет использовать очень мощные видеокарты.

При нагрузке через четыре разъема PCIe 2.0 максимальная мощность по каналу +12VDC составляет не менее 650 Вт при отклонении в пределах 3%.

При нагрузке через разъем питания процессора максимальная мощность по каналу +12VDC составляет не менее 250 Вт при отклонении в пределах 3%. Этого вполне достаточно для типовых систем, у которых на системной плате есть только один разъем для питания процессора.

При нагрузке через два разъема питания процессора максимальная мощность по каналу +12VDC составляет не менее 500 Вт при отклонении в пределах 3%.

В случае системной платы максимальная мощность по каналу +12VDC составляет не менее 150 Вт при отклонении 3%. Так как сама плата потребляет по данному каналу в пределах 10 Вт, высокая мощность может потребоваться для питания карт расширения — например, для видеокарт без дополнительного разъема питания, которые обычно имеют потребление в пределах 75 Вт.
Таким образом, индивидуальная нагрузочная способность тут высокая.
Экономичность и эффективность
При оценке эффективности компьютерного блока питания можно идти двумя путями. Первый путь заключается в оценке компьютерного блока питания как отдельного преобразователя электрической энергии с дальнейшей попыткой минимизировать сопротивление линии передачи электрической энергии от БП к нагрузке (где и измеряется ток и напряжение на выходе БП). Для этого блок питания обычно подключается всеми имеющимися разъемами, что ставит разные блоки питания в неравные условия, так как набор разъемов и количество токоведущих проводов зачастую разное даже у блоков питания одинаковой мощности. Таким образом, хотя результаты получаются корректными для каждого конкретного источника питания, в реальных условиях полученные данные малоприменимы, поскольку в реальных условиях блок питания подключается ограниченным количеством разъемов, а не всеми сразу. Поэтому логичным представляется вариант определения эффективности (экономичности) компьютерного блока питания не только на фиксированных значениях мощности, включая распределение мощности по каналам, но и с фиксированным набором разъемов для каждого значения мощности.
Представление эффективности компьютерного блока питания в виде значения КПД (коэффициента полезного действия) имеет свои традиции. Прежде всего, КПД — это коэффициент, определяемый соотношением мощностей на выходе и на входе блока питания, то есть КПД показывает эффективность преобразования электрической энергии. Обычному же пользователю данный параметр почти ничего не скажет, за исключением того, что более высокий КПД вроде как говорит о большей экономичности БП и более высоком его качестве. Зато КПД стал отличным маркетинговым якорем, особенно в комбинацией с сертификатом 80Plus. Однако с практической точки зрения КПД не оказывает заметного влияния на функционирование системного блока: он не увеличивает производительность, не снижает шум или температуру внутри системного блока. Это просто технический параметр, уровень которого в основном определяется развитием промышленности в текущий момент времени и себестоимостью продукта. Для пользователя же максимизация КПД выливается в увеличение розничной цены.
С другой стороны, иногда нужно объективно оценить экономичность компьютерного блока питания. Под экономичностью мы подразумеваем потерю мощности при преобразовании электроэнергии и ее передаче к конечным потребителям. И для оценки этого КПД не нужен, так как можно использовать не отношение двух величин, а абсолютные значения: рассеиваемую мощность (разницу между значениями на входе и выходе блока питания), а также потребление энергии источником питания за определенное время (день, месяц, год и т. д.) при работе с постоянной нагрузкой (мощностью). Это позволяет легко увидеть реальную разницу в потреблении электроэнергии конкретными моделями БП и при необходимости рассчитать экономическую выгоду от использования более дорогих источников питания.
Таким образом, на выходе мы получаем понятный для всех параметр — рассеиваемую мощность, которая легко преобразуется в киловатт-часы (кВт·ч), которые и регистрирует счетчик электрической энергии. Умножив полученное значение на стоимость киловатт-часа, получим стоимость электрической энергии при условии эксплуатации системного блока круглосуточно в течение года. Подобный вариант, конечно, чисто гипотетический, но он позволяет оценить разницу между стоимостью эксплуатации компьютера с различными источниками питания в течение длительного периода времени и сделать выводы об экономической целесообразности приобретения конкретной модели БП. В реальных условиях высчитанное значение может достигаться за более долгий период — например, от 3 лет и более. При необходимости каждый желающий может разделить полученное значение на нужный коэффициент в зависимости от количества часов в сутках, в течение которых системный блок эксплуатируется в указанном режиме, чтобы получить расход электроэнергии за год.
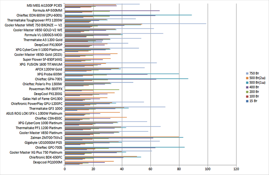
Мы решили выделить несколько типовых вариантов по мощности и соотнести их с количеством разъемов, которое соответствует данным вариантам, то есть максимально приблизить методику измерения экономичности к условиям, которые достигаются в реальном системном блоке. Вместе с тем, это позволит оценивать экономичность разных блоков питания в полностью одинаковых условиях.
| Нагрузка через разъемы | 12VDC, Вт | 5VDC, Вт | 3.3VDC, Вт | Общая мощность, Вт |
|---|---|---|---|---|
| основной ATX, процессорный (12 В), SATA | 5 | 5 | 5 | 15 |
| основной ATX, процессорный (12 В), SATA | 80 | 15 | 5 | 100 |
| основной ATX, процессорный (12 В), SATA | 180 | 15 | 5 | 200 |
| основной ATX, процессорный (12 В), 6-контактный PCIe, SATA | 380 | 15 | 5 | 400 |
| основной ATX, процессорный (12 В), 6-контактные PCIe (1 шнур с 2 разъемами), SATA | 480 | 15 | 5 | 500 |
| основной ATX, процессорный (12 В), 6-контактные PCIe (2 шнура по 1 разъему), SATA | 480 | 15 | 5 | 500 |
| основной ATX, процессорный (12 В), 6-контактные PCIe (2 шнура по 2 разъема), SATA | 730 | 15 | 5 | 750 |
Полученные результаты выглядят следующим образом:
| Рассеиваемая мощность, Вт | 15 Вт | 100 Вт | 200 Вт | 400 Вт | 500 Вт (1 шнур) | 500 Вт (2 шнура) | 750 Вт |
|---|---|---|---|---|---|---|---|
| Cooler Master V1000 Platinum (2020) | 19,8 | 21,0 | 25,5 | 38,0 | 43,5 | 41,0 | 55,3 |
| Thermaltake TF1 1550 | 13,8 | 15,1 | 17,0 | 24,2 | 30,0 | 42,0 | |
| Thermaltake GF1 1000 | 15,2 | 18,1 | 21,5 | 31,5 | 38,0 | 37,3 | 65,0 |
| Chieftec PPS-1050FC | 10,8 | 13,0 | 17,4 | 29,1 | 35,1 | 34,6 | 58,0 |
| Deepcool PQ1000M | 10,4 | 12,6 | 16,7 | 28,1 | 34,4 | ||
| Gigabyte UD1000GM PG5 | 11,0 | 14,4 | 19,9 | 31,4 | 40,1 | 37,8 | 66,6 |
| Thermaltake PF1 1200 Platinum | 12,8 | 18,3 | 24,0 | 35,0 | 43,0 | 39,5 | 67,2 |
| XPG CyberCore 1000 Platinum | 10,1 | 19,6 | 21,6 | 33,9 | 37,4 | 36,7 | 57,7 |
| Asus ROG Loki SFX-L 1000W Platinum | 13,7 | 14,5 | 17,6 | 24,9 | 38,7 | ||
| Thermaltake GF3 1000 | 8,8 | 17,0 | 21,7 | 35,5 | 44,8 | 41,6 | 70,5 |
| Chieftronic PowerPlay GPU-1200FC | 13,8 | 17,9 | 22,2 | 31,6 | 36,0 | 33,2 | 55,5 |
| Galax Hall of Fame GH1300 | 12,7 | 14,2 | 18,2 | 24,7 | 29,9 | ||
| Deepcool PX1200G | 10,7 | 19,5 | 24,2 | 30,0 | 35,0 | ||
| Chieftec Polaris Pro 1300W | 13,2 | 16,9 | 20,3 | 28,2 | 32,6 | 31,9 | 48,0 |
| Afox 1200W Gold | 15,3 | 18,8 | 23,8 | 32,5 | 39,2 | 37,9 | 56,0 |
| XPG Fusion 1600 Titanium | 14,0 | 20,2 | 23,1 | 25,5 | 28,9 | 64,5 | |
| XPG CyberCore II 1000 Platinum | 9,5 | 16,7 | 18,4 | 28,7 | 32,0 | 31,5 | 52,0 |
| DeepCool PX1300P | 17,0 | 17,8 | 19,1 | 28,0 | 30,0 | 44,5 | |
| Thermaltake GF A3 Gold 1200W | 26,2 | 16,3 | 21,8 | 26,8 | 32,0 | 31,7 | 53,6 |
| Formula VL-1000G5-MOD | 15,2 | 15,3 | 20,1 | 30,7 | 40,6 | 39,2 | 69,0 |
| Thermaltake Toughpower PF3 1200W | 17,2 | 18,0 | 18,5 | 24,1 | 30,0 | 29,3 | 49,8 |
| PCCooler YS1200 | 10,4 | 18,0 | 22,0 | 27,5 | 33,1 | ||
| Formula V-Line APMM-1000GM | 11,6 | 14,5 | 22,0 | 35,8 | 44,8 | 42,7 | 77,0 |
| MSI MEG Ai1300P PCIE5 | 11,0 | 18,7 | 21,7 | 36,4 | 36,0 | 52,5 |
Данная модель имеет высокую экономичность во всех протестированных режимах, это достойный представитель источников питания с уровнем сертификата 80Plus Platinum.
| Вт | |
|---|---|
| Deepcool PQ1000M | 68 |
| Galax Hall of Fame GH1300 | 70 |
| Thermaltake TF1 1550 | 70 |
| Chieftec PPS-1050FC | 70 |
| Asus ROG Loki SFX-L 1000W Platinum | 71 |
| XPG CyberCore II 1000 Platinum | 73 |
| Gigabyte UD1000GM PG5 | 77 |
| Thermaltake Toughpower PF3 1200W | 78 |
| PCCooler YS1200 | 78 |
| Chieftec Polaris Pro 1300W | 79 |
| Formula VL-1000G5-MOD | 81 |
| DeepCool PX1300P | 82 |
| XPG Fusion 1600 Titanium | 83 |
| Thermaltake GF3 1000 | 83 |
| Formula V-Line APMM-1000GM | 84 |
| Deepcool PX1200G | 84 |
| XPG CyberCore 1000 Platinum | 85 |
| Chieftronic PowerPlay GPU-1200FC | 86 |
| Thermaltake GF1 1000 | 86 |
| MSI MEG Ai1300P PCIE5 | 88 |
| Thermaltake PF1 1200 Platinum | 90 |
| Afox 1200W Gold | 90 |
| Thermaltake GF A3 Gold 1200W | 91 |
| Cooler Master V1000 Platinum (2020) | 104 |
Впрочем, при сравнении с качественными БП мощностью от киловатта величина рассеиваемой мощности на низкой нагрузке у MSI MEG Ai1300P PCIE5 не впечатляет. Разумеется, упор при проектировании таких моделей делается на работу под очень высокой нагрузкой.
| Потребление энергии компьютером за год, кВт·ч | 15 Вт | 100 Вт | 200 Вт | 400 Вт | 500 Вт (1 шнур) | 500 Вт (2 шнура) | 750 Вт |
|---|---|---|---|---|---|---|---|
| Cooler Master V1000 Platinum (2020) | 305 | 1060 | 1975 | 3837 | 4761 | 4739 | 7054 |
| Thermaltake TF1 1550 | 252 | 1008 | 1901 | 3716 | 4643 | 6938 | |
| Thermaltake GF1 1000 | 265 | 1035 | 1940 | 3780 | 4713 | 4707 | 7139 |
| Chieftec PPS-1050FC | 226 | 990 | 1904 | 3759 | 4688 | 4683 | 7078 |
| Deepcool PQ1000M | 223 | 986 | 1898 | 3750 | 4681 | ||
| Gigabyte UD1000GM PG5 | 228 | 1002 | 1926 | 3779 | 4731 | 4711 | 7153 |
| Thermaltake PF1 1200 Platinum | 244 | 1036 | 1962 | 3811 | 4757 | 4726 | 7159 |
| XPG CyberCore 1000 Platinum | 220 | 1048 | 1941 | 3801 | 4708 | 4702 | 7076 |
| Asus ROG Loki SFX-L 1000W Platinum | 251 | 1003 | 1906 | 3722 | 4719 | ||
| Thermaltake GF3 1000 | 209 | 1025 | 1942 | 3815 | 4772 | 4744 | 7188 |
| Chieftronic PowerPlay GPU-1200FC | 252 | 1033 | 1947 | 3781 | 4695 | 4671 | 7056 |
| Galax Hall of Fame GH1300 | 243 | 1000 | 1911 | 3720 | 4642 | ||
| Deepcool PX1200G | 225 | 1047 | 1964 | 3767 | 4687 | ||
| Chieftec Polaris Pro 1300W | 247 | 1024 | 1930 | 3751 | 4666 | 4659 | 6991 |
| Afox 1200W Gold | 265 | 1041 | 1961 | 3789 | 4723 | 4712 | 7061 |
| XPG Fusion 1600 Titanium | 254 | 1053 | 1954 | 3727 | 4633 | 7135 | |
| XPG CyberCore II 1000 Platinum | 215 | 1022 | 1913 | 3755 | 4660 | 4656 | 7026 |
| DeepCool PX1300P | 280 | 1032 | 1919 | 3749 | 4643 | 6960 | |
| Thermaltake GF A3 Gold 1200W | 361 | 1019 | 1943 | 3739 | 4660 | 4658 | 7040 |
| Formula VL-1000G5-MOD | 265 | 1010 | 1928 | 3773 | 4736 | 4723 | 7174 |
| Thermaltake Toughpower PF3 1200W | 282 | 1034 | 1914 | 3715 | 4643 | 4637 | 7006 |
| PCCooler YS1200 | 223 | 1034 | 1945 | 3745 | 4670 | ||
| Formula V-Line APMM-1000GM | 233 | 1003 | 1945 | 3818 | 4772 | 4754 | 7245 |
| MSI MEG Ai1300P PCIE5 | 228 | 1040 | 1942 | 3823 | 4695 | 7030 |
В данном случае мы также приводим и измерения традиционного КПД. Результаты регистрировались при постоянной нагрузке на каналы +3.3VDC (5 Вт) и +5VDC (15 Вт) и изменяемой мощности по каналу +12VDC.

Всего таким образом мы измерили параметры блока питания в 11 точках. В результате максимальный КПД в нашем случае составил 93,6% при выходной мощности 850 Вт. Максимальная рассеиваемая мощность составила 111 Вт при выходной мощности 1300 Вт, что очень немного для блока питания подобной мощности.
Температурный режим
Все основные тесты проводились в гибридном режиме по умолчанию. Термонагруженность конденсаторов при работе на мощности от 300 Вт до 500 Вт и свыше 1200 Вт довольно высокая (свыше 75 градусов), но ее можно считать удовлетворительной.

При изучении функционирования блока питания в гибридном режиме было установлено, что вентилятор в блоке питания включается как при достижении пороговой температуры на термодатчике (около 85 градусов), так и при достижении выходной мощности около 800 ватт. Отключение вентилятора происходит только при снижении температуры на термодатчике до определенного порога (около 55 градусов). При работе на мощности 400 ватт и менее блок питания может длительное время функционировать с остановленным вентилятором.
Скачкообразного роста уровня шума при запуске вентилятора отмечено не было.
Также стоит учитывать, что в случае работы с остановленным вентилятором температура компонентов внутри БП сильно зависит от окружающей температуры воздуха, и если та установится на уровне 40-45 °C, это приведет к более раннему включению вентилятора.
Акустическая эргономика
При подготовке данного материала мы использовали следующую методику измерения уровня шума блоков питания. Блок питания располагается на ровной поверхности вентилятором вверх, над ним на расстоянии 0,35 метра размещается измерительный микрофон шумомера Октава 110А-Эко, которым и производится измерение уровня шума. Нагрузка блока питания осуществляется при помощи специального стенда, имеющего бесшумный режим работы. В ходе измерения уровня шума осуществляется эксплуатация блока питания на постоянной мощности в течение 20 минут, после чего производится замер уровня шума.
Подобное расстояние до объекта измерения является наиболее приближенным для настольного размещения системного блока с установленным блоком питания. Данный метод позволяет оценить уровень шума блока питания в жестких условиях с точки зрения небольшого расстояния от источника шума до пользователя. При увеличении расстояния до источника шума и появлении дополнительных преград, имеющих хорошую звукоотражающую способность, уровень шума в контрольной точке также будет снижаться, что приведет к улучшению акустической эргономики в целом.

При работе на мощности до 50 Вт вентилятор блока питания не шумит (потому что не вращается), но слышен отчетливый свист электроники, в итоге шумомер регистрирует уровень шума около 26 дБА с расстояния 0,35 м (пониженный для жилого помещения в дневное время суток). При более высокой нагрузке (от 100 Вт — точно) свист отсутствует.
При работе в диапазоне мощности от 100 до 400 Вт включительно шум блока питания находится на уровне фонового шума в помещении: вентилятор не вращается, а шум электроники минимален.
На мощности 500 Вт вентилятор уже периодически запускается. Шум в этом режиме можно охарактеризовать как пониженный для жилого помещения в дневное время суток.
На мощности 750 Вт вентилятор уже работает постоянно, но шум в этом режиме всё равно можно охарактеризовать как пониженный для жилого помещения в дневное время суток.
При работе на мощности 850 Вт уровень шума данной модели приближается к среднетипичному значению при расположении БП в ближнем поле. При более значительном удалении блока питания и размещении его под столом в корпусе с нижним расположением БП такой шум можно будет трактовать как находящийся на уровне ниже среднего. В дневное время суток в жилом помещении источник с подобным уровнем шума будет не слишком заметен, особенно с расстояния в метр и более, и тем более он будет малозаметен в офисном помещении, так как фоновый шум в офисах обычно выше, чем в жилых помещениях. В ночное время суток источник с таким уровнем шума будет хорошо заметен, спать рядом будет затруднительно. Подобный уровень шума можно считать комфортным при работе за компьютером.
При дальнейшем увеличении выходной мощности уровень шума заметно повышается. При работе на мощности 1000 Вт уровень шума превышает 40 дБА — это высокий шум для жилого помещения в дневное время суток.
При работе на мощности 1200 Вт шум очень высокий не только для жилого, но и для офисного помещения — около 51 дБА.
На максимальной мощности шум еще выше: около 53 дБА.
Таким образом, с точки зрения акустической эргономики данная модель обеспечивает комфорт при выходной мощности в пределах 850 Вт.
Также мы оцениваем уровень шума электроники блока питания, поскольку в некоторых случаях она является источником нежелательных призвуков. Данный этап тестирования осуществляется путем определения разницы между уровнем шума в нашей лаборатории с включенным блоком питания и с выключенным. В случае, если полученное значение находится в пределах 5 дБА, никаких отклонений в акустических свойствах БП нет. При разнице более 10 дБА, как правило, есть определенные дефекты, которые можно услышать с расстояния менее полуметра. На данном этапе измерений микрофон шумомера располагается на расстоянии около 40 мм от верхней плоскости БП, так как на бо́льших расстояниях измерение шума электроники весьма затруднительно.
| Мощность | Уровень шума со стороны решетки | Отклонение от фонового уровня |
|---|---|---|
| 15 Вт | 35 дБА | +15 дБА |
| 50 Вт | 36,5 дБА | +16,5 дБА |
| 100 Вт | 22 дБА | +2 дБА |
| 200 Вт | 22 дБА | +2 дБА |
| 300 Вт | 22 дБА | +2 дБА |
| 400 Вт | 22 дБА | +2 дБА |
| 500 Вт | 22,7 дБА | +2,7 дБА |
Шум электроники у данного экземпляра имелся вплоть до 50 Вт, причем он был хорошо заметен. В остальном диапазоне мощности заметный шум электроники отсутствует.
Потребительские качества
Потребительские качества MSI MEG Ai1300P PCIE5 находятся на очень хорошем уровне. Нагрузочная способность канала +12VDC высокая, что позволяет использовать данный БП в мощных системах с несколькими видеокартами. Акустическая эргономика на высокой мощности плохая, но при низких и средних нагрузках вплоть до 850 Вт шум действительно невысокий, хотя есть особенность: свист в простое. В случае использования гибридного режима этот БП может длительное время работать с остановленным вентилятором на мощности 400 Вт и менее.
На мощности выше 850 Вт шум становится заметным и неприятным, но в реальных условиях компоненты, имеющие подобное потребление, сами по себе будут производить значительный шум. Длина проводов у БП достаточная для большинства современных корпусов, к тому же провода использованы мягкие и полностью съемные, что повышает удобство при сборке и дальнейшей эксплуатации. Также отметим возможность подключения видеокарты посредством разъема питания PCIe 5.0.
Итоги
MSI MEG Ai1300P PCIE5 — достойная реализация «платинового» БП с соответствующей ценой. Его технико-эксплуатационные характеристики находятся на отличном уровне, чему способствуют высокая нагрузочная способность канала +12VDC, высокая экономичность, высококачественный вентилятор с гидродинамическим подшипником, а также конденсаторы японских производителей. Можно прогнозировать достаточно долгий срок службы данной модели даже при высоких нагрузках и активной эксплуатации. Блок питания позволяет длительно работать с остановленным вентилятором на мощности до 400 Вт.








