Оглавление
- Характеристики
- Провода и разъемы
- Длина проводов до разъемов питания
- Схемотехника и охлаждение
- Измерение электрических характеристик
- Работа на максимальной мощности
- Кросс-нагрузочная характеристика
- Нагрузочная способность
- Экономичность и эффективность
- Температурный режим
- Акустическая эргономика
- Потребительские качества
- Итоги
Блоки питания особо высокой мощности (от 1000 Вт) приобретают, как правило, для специфических задач — для специализированных тестовых систем, для высоконагруженных компьютеров для рендеринга, расчетов, а также для разгона. Впрочем, иногда такие источники питания приобретают, просто желая создать ощутимый запас по мощности для существующей системы или в расчете на будущий апгрейд. Стоимость подобных решений может сильно отличаться, что ставит покупателя перед непростой задачей выбора модели с нужным соотношением цены и потребительских качеств. Сегодня мы рассмотрим одно из доступных на рынке решений.
В этот раз мы познакомимся с блоком питания PCCooler KN1000 (P3-KN1000-G1F) мощностью 1000 Вт, который имеет сертификат 80+ Gold. Блок питания соответствует стандарту ATX 3.1 и позволяет питать очень мощные современные видеокарты через 16-контактный разъем PCIe 5.1 (12V-2×6). В данной серии существуют также модели мощностью 650, 750 и 850 Вт.
Дизайн данной модели весьма неплох, но применение штампованной решетки над вентилятором чревато повышенным уровнем шума при работе. Впрочем, сейчас штампованные решетки применяются всё чаще и чаще, так как они, видимо, проще в изготовлении, а БП с такими решетками чуть дешевле в производстве.
Блок питания имеет один режим охлаждения: активный, с постоянно вращающимся вентилятором.
Длина корпуса БП составляет около 140 мм, дополнительно понадобится 15-20 мм для подвода проводов, поэтому при монтаже стоит рассчитывать на установочный размер порядка 160 мм. Для блоков питания подобной мощности эти размеры можно считать минимальными.
| Розничные предложения |
|---|
Характеристики
Все необходимые параметры указаны на корпусе блока питания в полном объеме, для мощности шины +12VDC заявлено значение 999,6 Вт. Соотношение мощности по шине +12VDC и полной мощности максимально близко к единице, что, разумеется, является отличным показателем.
Провода и разъемы
| Наименование разъема | Количество разъемов | Примечания |
|---|---|---|
| 24 pin Main Power Connector | 1 | разборный |
| 8 pin SSI Processor Connector | 2 | разборные |
| 4 pin 12V Power Connector | — | |
| 16 pin PCIe 5.1 VGA Power Connector | 1 | |
| 8 pin PCIe 2.0 VGA Power Connector | 3 | на 3 шнурах |
| 6 pin PCIe 1.0 VGA Power Connector | — | |
| 15 pin Serial ATA Connector | 9 | на 4 шнурах |
| 4 pin Peripheral Connector | 3 | |
| 4 pin Floppy Drive Connector | — | |
Длина проводов до разъемов питания
Все без исключения провода являются модульными, то есть их можно снять, оставив лишь те, которые необходимы для конкретной системы.
- 1 шнур: до основного разъема АТХ — 60 см
- 2 шнура: до процессорного разъема 8 pin SSI — 65 см
- 1 шнур: до разъема питания видеокарты PCIe 5.1 VGA Power Connector (12V-2×6) — 60 см
- 3 шнура: до разъема питания видеокарты PCIe 2.0 VGA Power Connector — 50 см
- 1 шнур: до первого разъема SATA Power Connector — 45 см, плюс 15 см до второго и еще 15 см до третьего такого же разъема
- 3 шнура: до первого разъема SATA Power Connector — 45 см, плюс 15 см до второго такого же разъема, плюс еще 15 см до разъема Peripheral Connector («молекс»)
Длина проводов средняя, она является достаточной для комфортного использования в корпусах типоразмера full tower и более габаритных с верхним расположением блока питания. В корпусах высотой до 55 см с нижнерасположенным блоком питания длина проводов также должна быть достаточной: до разъемов питания процессора — по 65 см. Таким образом, с большинством современных корпусов проблем быть не должно. Правда, с учетом конструкции современных корпусов, имеющих развитые системы скрытой прокладки проводов, один из шнуров вполне можно было бы сделать и более длинным: скажем, 75-80 см, чтобы обеспечить максимальное удобство работы при сборке системы.
Одной из особенностей данной модели является наличие штатной возможности подключить видеокарту с новым разъемом питания PCIe 5.1 (12V-2×6) без использования переходников.
Также этот блок питания позволяет подключить (без переходников и разветвителей) 9 устройств с питанием SATA Power. Все периферийные разъемы, включая SATA Power, расположены на четырех шнурах, что должно быть удобно, особенно, если нужно обеспечить питанием несколько зон установки накопителей.
Все разъемы SATA Power, за исключением одного единственного, угловые, а использование таких разъемов не слишком удобно в случае накопителей, размещаемых с тыльной стороны основания для системной платы.
Провода тут использованы ленточные, которые более удобны при сборке и дальнейшей эксплуатации.
Сами провода мягкие и хорошо изгибаются, что косвенно свидетельствует о высоком содержании меди.
Схемотехника и охлаждение
Блок питания оснащен активным корректором коэффициента мощности и имеет довольно широкий диапазон питающих напряжений от 100 до 240 вольт. Это обеспечивает устойчивость к понижению напряжения в электросети ниже нормативных значений.
Конструкция блока питания вполне соответствует современным тенденциям: активный корректор коэффициента мощности, синхронный выпрямитель для канала +12VDC, независимые импульсные преобразователи постоянного тока для линий +3.3VDC и +5VDC.

Высоковольтные силовые элементы установлены на нескольких радиаторах разных размеров, транзисторы синхронного выпрямителя установлены с лицевой стороны основной печатной платы, на них нет радиаторов, но вокруг места установки есть теплорассеивающие элементы.

Элементы импульсных преобразователей каналов +3.3VDC и +5VDC размещены на дочерней печатной плате, установленной вертикально.
В блоке питания в низковольтной части установлены конденсаторы Samxon (Гонконг).
Входной конденсатор выпущен под торговой маркой TK (Toshin Kogyo), это японский бренд, имеющий производственные площадки в Японии, Китае и на Тайване.
Установлено и большое количество полимерных конденсаторов.
В случае относительно бюджетного продукта это вполне ожидаемое решение.
В блоке питания установлен вентилятор Poweryear PY-1225M12S типоразмера 120 мм, подключение двухпроводное, через разъем. Вентилятор основан, скорее всего, на обычном подшипнике скольжения, это самый дешевый вариант, но и его, как правило, на гарантийный срок блока питания хватает.
Измерение электрических характеристик
Далее мы переходим к инструментальному исследованию электрических характеристик источника питания при помощи многофункционального стенда и другого оборудования.
Величина отклонения выходных напряжений от номинала кодируется цветом следующим образом:
| Цвет | Диапазон отклонения | Качественная оценка |
|---|---|---|
| более 5% | неудовлетворительно | |
| +5% | плохо | |
| +4% | удовлетворительно | |
| +3% | хорошо | |
| +2% | очень хорошо | |
| 1% и менее | отлично | |
| −2% | очень хорошо | |
| −3% | хорошо | |
| −4% | удовлетворительно | |
| −5% | плохо | |
| более 5% | неудовлетворительно |
Работа на максимальной мощности
Первым этапом испытаний является эксплуатация блока питания на максимальной мощности продолжительное время. Такой тест с уверенностью позволяет удостовериться в работоспособности БП.

Кросс-нагрузочная характеристика
Следующим этапом инструментального тестирования является построение кросснагрузочной характеристики (КНХ) и представление ее на четвертьплоскости, ограниченной максимальной мощностью по шине 3,3&5 В с одной стороны (по оси ординат) и максимальной мощностью по шине 12 В с другой (по оси абсцисс). В каждой точке измеренное значение напряжения обозначается цветовым маркером в зависимости от отклонения от номинального значения.



КНХ позволяет нам определить, какой уровень нагрузки можно считать допустимым, особенно по каналу +12VDC, для тестируемого экземпляра. В данном случае отклонения действующих значений напряжения от номинала по каналу +12VDC не превышают 1% во всем диапазоне мощности, что является хорошим результатом. При типичном распределении мощности по каналам отклонения от номинала не превышают 1% по каналу +3.3VDC, 1% по каналу +5VDC и 1% по каналу +12VDC.
Данная модель БП хорошо подходит для мощных современных систем из-за высокой практической нагрузочной способности канала +12VDC.
Нагрузочная способность
Следующий тест призван определить максимальную мощность, которую можно подать через соответствующие разъемы при нормированном отклонении значения напряжения в размере 3 или 5 процентов от номинала.

В случае видеокарты с единственным разъемом питания максимальная мощность по каналу +12VDC составляет не менее 150 Вт при отклонении в пределах 3%.

В случае видеокарты с двумя разъемами питания при использовании двух шнуров питания максимальная мощность по каналу +12VDC составляет не менее 350 Вт при отклонении в пределах 3%, что позволяет использовать очень мощные видеокарты.

При нагрузке через три разъема PCIe 2.0 максимальная мощность по каналу +12VDC составляет не менее 525 Вт при отклонении в пределах 3%.

Аналогичный тест был проведен и на мощности 650 Вт, значительных отклонений он тоже не выявил.

При нагрузке через разъем питания процессора максимальная мощность по каналу +12VDC составляет не менее 250 Вт при отклонении в пределах 3%. Этого вполне достаточно для типовых систем, у которых на системной плате есть только один разъем для питания процессора.

При нагрузке через два разъема питания процессора максимальная мощность по каналу +12VDC составляет не менее 500 Вт при отклонении в пределах 3%.

В случае системной платы максимальная мощность по каналу +12VDC составляет не менее 150 Вт при отклонении 3%. Так как сама плата потребляет по данному каналу в пределах 10 Вт, высокая мощность может потребоваться для питания карт расширения — например, для видеокарт без дополнительного разъема питания, которые обычно имеют потребление в пределах 75 Вт.
Таким образом, индивидуальная нагрузочная способность тут высокая.
Экономичность и эффективность
При оценке эффективности компьютерного блока питания можно идти двумя путями. Первый путь заключается в оценке компьютерного блока питания как отдельного преобразователя электрической энергии с дальнейшей попыткой минимизировать сопротивление линии передачи электрической энергии от БП к нагрузке (где и измеряется ток и напряжение на выходе БП). Для этого блок питания обычно подключается всеми имеющимися разъемами, что ставит разные блоки питания в неравные условия, так как набор разъемов и количество токоведущих проводов зачастую разное даже у блоков питания одинаковой мощности. Таким образом, хотя результаты получаются корректными для каждого конкретного источника питания, в реальных условиях полученные данные малоприменимы, поскольку в реальных условиях блок питания подключается ограниченным количеством разъемов, а не всеми сразу. Поэтому логичным представляется вариант определения эффективности (экономичности) компьютерного блока питания не только на фиксированных значениях мощности, включая распределение мощности по каналам, но и с фиксированным набором разъемов для каждого значения мощности.
Представление эффективности компьютерного блока питания в виде значения КПД (коэффициента полезного действия) имеет свои традиции. Прежде всего, КПД — это коэффициент, определяемый соотношением мощностей на выходе и на входе блока питания, то есть КПД показывает эффективность преобразования электрической энергии. Обычному же пользователю данный параметр почти ничего не скажет, за исключением того, что более высокий КПД вроде как говорит о большей экономичности БП и более высоком его качестве. Зато КПД стал отличным маркетинговым якорем, особенно в комбинацией с сертификатом 80Plus. Однако с практической точки зрения КПД не оказывает заметного влияния на функционирование системного блока: он не увеличивает производительность, не снижает шум или температуру внутри системного блока. Это просто технический параметр, уровень которого в основном определяется развитием промышленности в текущий момент времени и себестоимостью продукта. Для пользователя же максимизация КПД выливается в увеличение розничной цены.
С другой стороны, иногда нужно объективно оценить экономичность компьютерного блока питания. Под экономичностью мы подразумеваем потерю мощности при преобразовании электроэнергии и ее передаче к конечным потребителям. И для оценки этого КПД не нужен, так как можно использовать не отношение двух величин, а абсолютные значения: рассеиваемую мощность (разницу между значениями на входе и выходе блока питания), а также потребление энергии источником питания за определенное время (день, месяц, год и т. д.) при работе с постоянной нагрузкой (мощностью). Это позволяет легко увидеть реальную разницу в потреблении электроэнергии конкретными моделями БП и при необходимости рассчитать экономическую выгоду от использования более дорогих источников питания.
Таким образом, на выходе мы получаем понятный для всех параметр — рассеиваемую мощность, которая легко преобразуется в киловатт-часы (кВт·ч), которые и регистрирует счетчик электрической энергии. Умножив полученное значение на стоимость киловатт-часа, получим стоимость электрической энергии при условии эксплуатации системного блока круглосуточно в течение года. Подобный вариант, конечно, чисто гипотетический, но он позволяет оценить разницу между стоимостью эксплуатации компьютера с различными источниками питания в течение длительного периода времени и сделать выводы об экономической целесообразности приобретения конкретной модели БП. В реальных условиях высчитанное значение может достигаться за более долгий период — например, от 3 лет и более. При необходимости каждый желающий может разделить полученное значение на нужный коэффициент в зависимости от количества часов в сутках, в течение которых системный блок эксплуатируется в указанном режиме, чтобы получить расход электроэнергии за год.
Мы решили выделить несколько типовых вариантов по мощности и соотнести их с количеством разъемов, которое соответствует данным вариантам, то есть максимально приблизить методику измерения экономичности к условиям, которые достигаются в реальном системном блоке. Вместе с тем, это позволит оценивать экономичность разных блоков питания в полностью одинаковых условиях.
| Нагрузка через разъемы | 12VDC, Вт | 5VDC, Вт | 3.3VDC, Вт | Общая мощность, Вт |
|---|---|---|---|---|
| основной ATX, процессорный (12 В), SATA | 5 | 5 | 5 | 15 |
| основной ATX, процессорный (12 В), SATA | 80 | 15 | 5 | 100 |
| основной ATX, процессорный (12 В), SATA | 180 | 15 | 5 | 200 |
| основной ATX, процессорный (12 В), 6-контактный PCIe, SATA | 380 | 15 | 5 | 400 |
| основной ATX, процессорный (12 В), 6-контактные PCIe (1 шнур с 2 разъемами), SATA | 480 | 15 | 5 | 500 |
| основной ATX, процессорный (12 В), 6-контактные PCIe (2 шнура по 1 разъему), SATA | 480 | 15 | 5 | 500 |
| основной ATX, процессорный (12 В), 6-контактные PCIe (2 шнура по 2 разъема), SATA | 730 | 15 | 5 | 750 |
Полученные результаты выглядят следующим образом:
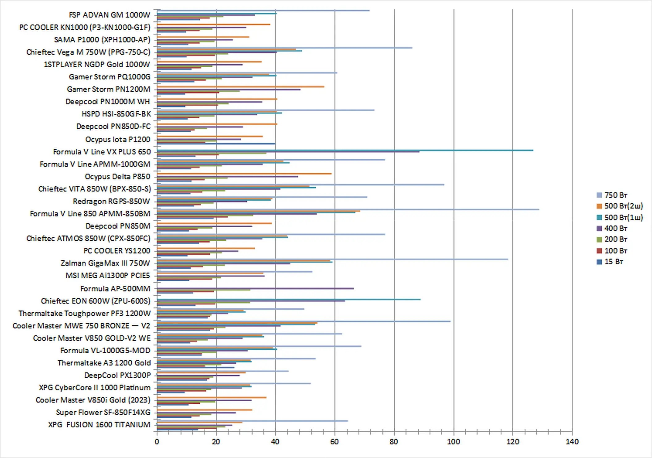
| Рассеиваемая мощность, Вт | 15 Вт | 100 Вт | 200 Вт | 400 Вт | 500 Вт (1 шнур) | 500 Вт (2 шнура) | 750 Вт |
|---|---|---|---|---|---|---|---|
| Cooler Master V1000 Platinum (2020) | 19,8 | 21,0 | 25,5 | 38,0 | 43,5 | 41,0 | 55,3 |
| Thermaltake TF1 1550 | 13,8 | 15,1 | 17,0 | 24,2 | 30,0 | 42,0 | |
| Thermaltake GF1 1000 | 15,2 | 18,1 | 21,5 | 31,5 | 38,0 | 37,3 | 65,0 |
| Chieftec PPS-1050FC | 10,8 | 13,0 | 17,4 | 29,1 | 35,1 | 34,6 | 58,0 |
| Deepcool PQ1000M | 10,4 | 12,6 | 16,7 | 28,1 | 34,4 | ||
| Gigabyte UD1000GM PG5 | 11,0 | 14,4 | 19,9 | 31,4 | 40,1 | 37,8 | 66,6 |
| Thermaltake PF1 1200 Platinum | 12,8 | 18,3 | 24,0 | 35,0 | 43,0 | 39,5 | 67,2 |
| XPG CyberCore 1000 Platinum | 10,1 | 19,6 | 21,6 | 33,9 | 37,4 | 36,7 | 57,7 |
| Asus ROG Loki SFX-L 1000W Platinum | 13,7 | 14,5 | 17,6 | 24,9 | 38,7 | ||
| Thermaltake GF3 1000 | 8,8 | 17,0 | 21,7 | 35,5 | 44,8 | 41,6 | 70,5 |
| Chieftronic PowerPlay GPU-1200FC | 13,8 | 17,9 | 22,2 | 31,6 | 36,0 | 33,2 | 55,5 |
| Galax Hall of Fame GH1300 | 12,7 | 14,2 | 18,2 | 24,7 | 29,9 | ||
| Deepcool PX1200G | 10,7 | 19,5 | 24,2 | 30,0 | 35,0 | ||
| Chieftec Polaris Pro 1300W | 13,2 | 16,9 | 20,3 | 28,2 | 32,6 | 31,9 | 48,0 |
| Afox 1200W Gold | 15,3 | 18,8 | 23,8 | 32,5 | 39,2 | 37,9 | 56,0 |
| XPG Fusion 1600 Titanium | 14,0 | 20,2 | 23,1 | 25,5 | 28,9 | 64,5 | |
| XPG CyberCore II 1000 Platinum | 9,5 | 16,7 | 18,4 | 28,7 | 32,0 | 31,5 | 52,0 |
| DeepCool PX1300P | 17,0 | 17,8 | 19,1 | 28,0 | 30,0 | 44,5 | |
| Thermaltake GF A3 Gold 1200W | 26,2 | 16,3 | 21,8 | 26,8 | 32,0 | 31,7 | 53,6 |
| Formula VL-1000G5-MOD | 15,2 | 15,3 | 20,1 | 30,7 | 40,6 | 39,2 | 69,0 |
| Thermaltake Toughpower PF3 1200W | 17,2 | 18,0 | 18,5 | 24,1 | 30,0 | 29,3 | 49,8 |
| PCCooler YS1200 | 10,4 | 18,0 | 22,0 | 27,5 | 33,1 | ||
| Formula V-Line APMM-1000GM | 11,6 | 14,5 | 22,0 | 35,8 | 44,8 | 42,7 | 77,0 |
| MSI MEG Ai1300P PCIE5 | 11,0 | 18,7 | 21,7 | 36,4 | 36,0 | 52,5 | |
| Deepcool PN1000M WH | 9,7 | 20,7 | 24,3 | 35,6 | 40,7 | ||
| GamerStorm PN1200M | 9,6 | 21,1 | 28,0 | 48,5 | 56,5 | ||
| GamerStorm PQ1000G | 12,7 | 16,6 | 22,0 | 32,3 | 40,4 | 37,9 | 60,9 |
| Ocypus Iota P1200 | 40,0 | 16,4 | 20,2 | 28,4 | 35,8 | ||
| 1stPlayer NGDP Gold 1000W | 11,8 | 15,0 | 18,8 | 29,0 | 35,4 | ||
| FSP Advan GM 1000W | 14,6 | 17,9 | 22,5 | 33,1 | 40,5 | 71,8 | |
| PCCooler KN1000 (P3-KN1000-G1F) | 9,9 | 14,5 | 18,8 | 30,2 | 38,3 |
Данная модель имеет высокую экономичность во всех протестированных режимах и находится на лидирующих позициях по этому параметру.
| Вт | |
|---|---|
| Deepcool PQ1000M | 68 |
| Galax Hall of Fame GH1300 | 70 |
| Thermaltake TF1 1550 | 70 |
| Chieftec PPS-1050FC | 70 |
| Asus ROG Loki SFX-L 1000W Platinum | 71 |
| XPG CyberCore II 1000 Platinum | 73 |
| PCCooler KN1000 (P3-KN1000-G1F) | 73 |
| 1stPlayer NGDP Gold 1000W | 75 |
| Gigabyte UD1000GM PG5 | 77 |
| Thermaltake Toughpower PF3 1200W | 78 |
| PCCooler YS1200 | 78 |
| Chieftec Polaris Pro 1300W | 79 |
| Formula VL-1000G5-MOD | 81 |
| DeepCool PX1300P | 82 |
| XPG Fusion 1600 Titanium | 83 |
| Thermaltake GF3 1000 | 83 |
| GamerStorm PQ1000G | 84 |
| Formula V-Line APMM-1000GM | 84 |
| Deepcool PX1200G | 84 |
| XPG CyberCore 1000 Platinum | 85 |
| Chieftronic PowerPlay GPU-1200FC | 86 |
| Thermaltake GF1 1000 | 86 |
| MSI MEG Ai1300P PCIE5 | 88 |
| FSP Advan GM 1000W | 88 |
| Thermaltake PF1 1200 Platinum | 90 |
| Afox 1200W Gold | 90 |
| Deepcool PN1000M WH | 90 |
| Thermaltake GF A3 Gold 1200W | 91 |
| Cooler Master V1000 Platinum (2020) | 104 |
| Ocypus Iota P1200 | 105 |
| GamerStorm PN1200M | 107 |
В режимах с низкой нагрузкой эта модель занимает 7-е место в нашем рейтинге протестированных моделей с мощностью от киловатта. Это отличный результат. Впрочем, на более высокой мощности результаты гораздо менее впечатляющие.
| Потребление энергии компьютером за год, кВт·ч | 15 Вт | 100 Вт | 200 Вт | 400 Вт | 500 Вт (1 шнур) | 500 Вт (2 шнура) | 750 Вт |
|---|---|---|---|---|---|---|---|
| Cooler Master V1000 Platinum (2020) | 305 | 1060 | 1975 | 3837 | 4761 | 4739 | 7054 |
| Thermaltake TF1 1550 | 252 | 1008 | 1901 | 3716 | 4643 | 6938 | |
| Thermaltake GF1 1000 | 265 | 1035 | 1940 | 3780 | 4713 | 4707 | 7139 |
| Chieftec PPS-1050FC | 226 | 990 | 1904 | 3759 | 4688 | 4683 | 7078 |
| Deepcool PQ1000M | 223 | 986 | 1898 | 3750 | 4681 | ||
| Gigabyte UD1000GM PG5 | 228 | 1002 | 1926 | 3779 | 4731 | 4711 | 7153 |
| Thermaltake PF1 1200 Platinum | 244 | 1036 | 1962 | 3811 | 4757 | 4726 | 7159 |
| XPG CyberCore 1000 Platinum | 220 | 1048 | 1941 | 3801 | 4708 | 4702 | 7076 |
| Asus ROG Loki SFX-L 1000W Platinum | 251 | 1003 | 1906 | 3722 | 4719 | ||
| Thermaltake GF3 1000 | 209 | 1025 | 1942 | 3815 | 4772 | 4744 | 7188 |
| Chieftronic PowerPlay GPU-1200FC | 252 | 1033 | 1947 | 3781 | 4695 | 4671 | 7056 |
| Galax Hall of Fame GH1300 | 243 | 1000 | 1911 | 3720 | 4642 | ||
| Deepcool PX1200G | 225 | 1047 | 1964 | 3767 | 4687 | ||
| Chieftec Polaris Pro 1300W | 247 | 1024 | 1930 | 3751 | 4666 | 4659 | 6991 |
| Afox 1200W Gold | 265 | 1041 | 1961 | 3789 | 4723 | 4712 | 7061 |
| XPG Fusion 1600 Titanium | 254 | 1053 | 1954 | 3727 | 4633 | 7135 | |
| XPG CyberCore II 1000 Platinum | 215 | 1022 | 1913 | 3755 | 4660 | 4656 | 7026 |
| DeepCool PX1300P | 280 | 1032 | 1919 | 3749 | 4643 | 6960 | |
| Thermaltake GF A3 Gold 1200W | 361 | 1019 | 1943 | 3739 | 4660 | 4658 | 7040 |
| Formula VL-1000G5-MOD | 265 | 1010 | 1928 | 3773 | 4736 | 4723 | 7174 |
| Thermaltake Toughpower PF3 1200W | 282 | 1034 | 1914 | 3715 | 4643 | 4637 | 7006 |
| PCCooler YS1200 | 223 | 1034 | 1945 | 3745 | 4670 | ||
| Formula V-Line APMM-1000GM | 233 | 1003 | 1945 | 3818 | 4772 | 4754 | 7245 |
| MSI MEG Ai1300P PCIE5 | 228 | 1040 | 1942 | 3823 | 4695 | 7030 | |
| Deepcool PN1000M WH | 216 | 1057 | 1965 | 3816 | 4737 | ||
| GamerStorm PN1200M | 216 | 1061 | 1997 | 3929 | 4875 | ||
| GamerStorm PQ1000G | 243 | 1021 | 1945 | 3787 | 4734 | 4712 | 7104 |
| Ocypus Iota P1200 | 482 | 1020 | 1929 | 3753 | 4694 | ||
| 1stPlayer NGDP Gold 1000W | 235 | 1007 | 1917 | 3758 | 4690 | ||
| FSP Advan GM 1000W | 259 | 1033 | 1949 | 3794 | 4735 | 7199 | |
| PCCooler KN1000 (P3-KN1000-G1F) | 218 | 1003 | 1917 | 3769 | 4716 |
В данном случае мы также приводим и измерения традиционного КПД. Результаты регистрировались при постоянной нагрузке на каналы +3.3VDC (5 Вт) и +5VDC (15 Вт) и изменяемой мощности по каналу +12VDC.

Всего таким образом мы измерили параметры блока питания в 10 точках. В результате максимальный КПД в нашем случае составил 93,5% при выходной мощности 500 Вт. Максимальная рассеиваемая мощность составила 97 Вт при работе на нагрузку 1000 Вт, что является очень хорошим показателем для блока питания подобной мощности.
Температурный режим
Термонагруженность конденсаторов при работе на мощности вплоть до максимальной находится на невысоком уровне, это заслуга постоянно вращающегося вентилятора.

Акустическая эргономика
При подготовке данного материала мы использовали следующую методику измерения уровня шума блоков питания. Блок питания располагается на ровной поверхности вентилятором вверх, над ним на расстоянии 0,35 метра размещается измерительный микрофон шумомера Октава 110А-Эко, которым и производится измерение уровня шума. Нагрузка блока питания осуществляется при помощи специального стенда, имеющего бесшумный режим работы. В ходе измерения уровня шума осуществляется эксплуатация блока питания на постоянной мощности в течение 20 минут, после чего производится замер уровня шума.
Подобное расстояние до объекта измерения является наиболее приближенным для настольного размещения системного блока с установленным блоком питания. Данный метод позволяет оценить уровень шума блока питания в жестких условиях с точки зрения небольшого расстояния от источника шума до пользователя. При увеличении расстояния до источника шума и появлении дополнительных преград, имеющих хорошую звукоотражающую способность, уровень шума в контрольной точке также будет снижаться, что приведет к улучшению акустической эргономики в целом.

В диапазоне мощности до 500 Вт включительно шум блока питания находится на пониженном уровне для жилого помещения в дневное время суток.
При работе на мощности 600 Вт шум блока питания находится на повышенном уровне для жилого помещения в дневное время суток — чуть выше 38 дБА.
На мощности мощности 750 Вт уровень шума превышает 40 дБА — это высокий шум для жилого помещения в дневное время суток.
На максимальной мощности уровень шума превышает 50 дБА, подобный уровень шума является очень высоким не только для жилого, но и для офисного помещения.
Таким образом, с точки зрения акустической эргономики данная модель обеспечивает комфорт при выходной мощности в пределах 600 Вт, а при мощности нагрузки менее 500 Вт блок питания работает относительно тихо, но совсем тихим и тем более бесшумным он не бывает даже при очень низкой нагрузке.
Также мы оцениваем уровень шума электроники блока питания, поскольку в некоторых случаях она является источником нежелательных призвуков. Данный этап тестирования осуществляется путем определения разницы между уровнем шума в нашей лаборатории с включенным блоком питания и с выключенным. В случае, если полученное значение находится в пределах 5 дБА, никаких отклонений в акустических свойствах БП нет. При разнице более 10 дБА, как правило, есть определенные дефекты, которые можно услышать с расстояния менее полуметра. На данном этапе измерений микрофон шумомера располагается на расстоянии около 40 мм от верхней плоскости БП, так как на бо́льших расстояниях измерение шума электроники весьма затруднительно.
В данном случае шум электроники минимальный, услышать его невозможно даже с минимального расстояния, не говоря уже о собранной системе.
Потребительские качества
Потребительские качества PCCooler KN1000 (P3-KN1000-G1F) находятся на хорошем уровне. Нагрузочная способность канала +12VDC высокая, что позволяет использовать данный БП в мощных системах с двумя видеокартами или одной максимально мощной.
С точки зрения акустической эргономики, блок питания обеспечивает комфорт при выходной мощности до 600 ватт, а при мощности до 500 Вт он работает относительно тихо, хотя и не бесшумно. Однако на максимальной мощности шум очень высокий.
Длина проводов достаточная для большинства современных корпусов, к тому же провода использованы ленточные и полностью съемные.
Также отметим возможность подключения видеокарты посредством разъема питания PCIe 5.1.
Итоги
PCCooler KN1000 (P3-KN1000-G1F) оставил в целом хорошее впечатление. Данная модель не претендует на лидирующие позиции, но представляет собой вполне качественный продукт с сертификатом 80+ Gold и довольно умеренной стоимостью. С положительной стороны стоит отметить наличие нового разъема PCIe 5.1 для подключения видеокарт (12V-2×6), невысокий уровень шума в широком диапазоне мощности (до 500 Вт), а также высокую экономичность.












