Оглавление
- Характеристики
- Провода и разъемы
- Длина проводов до разъемов питания
- Схемотехника и охлаждение
- Измерение электрических характеристик
- Работа на максимальной мощности
- Кросс-нагрузочная характеристика
- Нагрузочная способность
- Экономичность и эффективность
- Температурный режим
- Акустическая эргономика
- Потребительские качества
- Итоги
К нам на тесты попал очередной продукт под торговой маркой Formula V-Line — блок питания VX Plus 650. Название модели, для разнообразия, вполне «читаемое», и в продаже представлена целая серия решений VX Plus, которая начинается с 400 Вт. Возможно, это специальная версия для России, так как в Европе продажа подобных источников питания будет невозможна. Модель VX Plus 650 представляет собой максимально бюджетное решение, где всё удешевлено по максимуму.
| Розничные предложения |
|---|
Вентилятор прикрыт штампованной решеткой с достаточно высоким аэродинамическим сопротивлением. С точки зрения акустической эргономики такое решение хуже обычной проволочной решетки из проволоки круглого сечения, так как перекрывает половину полезной площади вентилятора.
Система охлаждения может работать только в одном режиме — активном, когда вентилятор вращается постоянно.
Длина корпуса БП составляет около 140 мм, дополнительно понадобится 15-20 мм для подвода проводов, поэтому при монтаже стоит рассчитывать на установочный размер порядка 160 мм.
Упаковка представляет собой коробку достаточной прочности с монохромной полиграфией и иллюстрацией, на которой схематично изображен сам блок питания. Вот здесь минимализм весьма к месту.
Характеристики
Все необходимые параметры указаны на корпусе блока питания в полном объеме, для мощности шины +12VDC заявлено значение 600 Вт. Соотношение мощности по шине +12VDC и полной мощности составляет 0,923, что является не самым выдающимся показателем, но в максимально бюджетных продуктах такое встречается довольно часто.
Провода и разъемы
| Наименование разъема | Количество разъемов | Примечания |
|---|---|---|
| 24 pin Main Power Connector | 1 | разборный |
| 8 pin SSI Processor Connector | 1 | разборный |
| 4 pin 12V Power Connector | — | |
| 16 pin PCIe 5.0 VGA Power Connector | — | |
| 8 pin PCIe 2.0 VGA Power Connector | 2 | на 1 шнуре |
| 6 pin PCIe 1.0 VGA Power Connector | — | |
| 15 pin Serial ATA Connector | 4 | на 3 шнурах |
| 4 pin Peripheral Connector | 3 | |
| 4 pin Floppy Drive Connector | 1 | |
Длина проводов до разъемов питания
Все без исключения провода являются фиксированными, то есть снять их нельзя в принципе. И подобную экономию тоже можно понять.
- 1 шнур: до основного разъема АТХ — 51 см
- 1 шнур: до процессорного разъема 8 pin SSI — 57 см
- 1 шнур: до первого разъема питания видеокарты PCIe 2.0 VGA Power Connector — 42 см, плюс еще 15 см до второго такого же разъема
- 1 шнур: до первого разъема SATA Power Connector — 42 см, плюс 15 см до второго такого же разъема, еще 15 см до разъема Peripheral Connector («молекс») и еще 15 см до разъема FDD
- 2 шнура: до разъема SATA Power Connector — 42 см, плюс 15 см до разъема Peripheral Connector («молекс»)
Провода тут весьма короткие, для сборки системы в больших корпусах данная модель подходит не очень хорошо, особенно если нужно уложить провода максимально аккуратно.
Стоит учитывать, что изготовитель сэкономил на подключении разъемов SATA Power к линии питания +3.3VDC, что, как правило, не влияет на работоспособность накопителей, но если таким разъемом подключается какое-то другое оборудование, то могут возникнуть сложности, даже если реального потребления по этой линии не предполагается.
Разъемов SATA Power всего четыре, но размещены они на трех разных шнурах питания (по соседству с периферийными и даже с одним разъемом питания FDD), что может в итоге оказаться удобнее типичной современной гирлянды с 4 разъемами на кабеле.
Схемотехника и охлаждение
Никакого корректора коэффициента мощности тут нет в принципе, что удивительно для современного блока питания, продающегося в 2025 году. Коэффициент мощности при такой конструкции составил от 0,5 до 0,64 в зависимости от выходной мощности.
Основные полупроводниковые элементы установлены на двух радиаторах средних размеров. На первом размещены элементы цепей переменного тока, а на втором — выпрямители.
Платформа явно не самая передовая: реализована групповая стабилизация каналов +5VDC и +12VDC, а также +3.3VDC на отдельном стабилизаторе на базе магнитного усилителя.
Конденсаторы представлены преимущественно продукцией под торговой маркой Hangcon.
В блоке питания установлен вентилятор, характеристики которого неизвестны. Можно предположить, что это вентилятор на подшипнике скольжения — самый дешевый вариант из возможных. Подключение вентилятора — двухпроводное, через разъем.
Измерение электрических характеристик
Далее мы переходим к инструментальному исследованию электрических характеристик источника питания при помощи многофункционального стенда и другого оборудования.
Величина отклонения выходных напряжений от номинала кодируется цветом следующим образом:
| Цвет | Диапазон отклонения | Качественная оценка |
|---|---|---|
| более 5% | неудовлетворительно | |
| +5% | плохо | |
| +4% | удовлетворительно | |
| +3% | хорошо | |
| +2% | очень хорошо | |
| 1% и менее | отлично | |
| −2% | очень хорошо | |
| −3% | хорошо | |
| −4% | удовлетворительно | |
| −5% | плохо | |
| более 5% | неудовлетворительно |
Работа на максимальной мощности
Первым этапом испытаний является эксплуатация блока питания на максимальной мощности продолжительное время. Такой тест с уверенностью позволяет удостовериться в работоспособности БП.

В данном случае для получения выходной мощности 650 Вт нужно довольно сильно нагружать канал +5VDC, так как по +12VDC можно получить максимум 600 Вт. При такой нагрузке все действующие значения напряжений находятся в пределах 3%. Это вполне достойно, но проблема в том, что такого распределения мощности по каналам в современной системе не будет в принципе. Нечему там потреблять 50 Вт по +5VDC.
Далее мы произвели измерение в режиме, который более приближен к типичным условиям эксплуатации.

Несмотря на существенно меньшую общую мощность (аж на 150 Вт меньше), при подобной нагрузке канал +12VDC просел до минимума, хотя формально остался в пределах отклонения 5%.

Если скинуть еще 100 Вт, то канал +12VDC приходит в чувство, отклонение при этом составляет около 3%, что уже вполне неплохо.
Кросс-нагрузочная характеристика
Следующим этапом инструментального тестирования является построение кросснагрузочной характеристики (КНХ) и представление ее на четвертьплоскости, ограниченной максимальной мощностью по шине 3,3&5 В с одной стороны (по оси ординат) и максимальной мощностью по шине 12 В с другой (по оси абсцисс). В каждой точке измеренное значение напряжения обозначается цветовым маркером в зависимости от отклонения от номинального значения.



КНХ позволяет нам определить, какой уровень нагрузки можно считать допустимым, особенно по каналу +12VDC, для тестируемого экземпляра. В данном случае отклонения действующих значений напряжения от номинала по каналу +12VDC превышают 5% на краях диапазона мощности, что является вполне типичным, хотя и не обязательным результатом при подобной конструкции. Дальше ситуация также весьма печальная: по каналам +3.3VDC и +5VDC отклонения при некоторых условиях превышают 5% процентов, причем в сторону уменьшения значений.
При типичном распределении мощности по каналам отклонения от номинала не превышают 3% по каналу +3.3VDC, 3% по каналу +5VDC, а вот отклонение в размере 3% по каналу +12VDC достигается при мощности нагрузки на последний в районе 300-400 Вт.
В общем, по результатам тестирования данную модель можно назвать 400-ваттником на максималках, хотя формально из него можно выжать и 650 Вт.
Нагрузочная способность
Следующий тест призван определить максимальную мощность, которую можно подать через соответствующие разъемы при нормированном отклонении значения напряжения в размере 3 или 5 процентов от номинала.

В случае видеокарты с единственным разъемом питания максимальная мощность по каналу +12VDC составляет не менее 150 Вт при отклонении в пределах 3%.

В случае видеокарты с двумя разъемами питания при использовании одного шнура питания максимальная мощность по каналу +12VDC составляет не менее 150 Вт при отклонении в пределах 3% и не менее 250 Вт при отклонении в пределах 5%.

При нагрузке через разъем питания процессора максимальная мощность по каналу +12VDC составляет не менее 110 Вт при отклонении в пределах 3% и не менее 140 Вт при отклонении в пределах 5%.

В случае системной платы максимальная мощность по каналу +12VDC составляет не менее 110 Вт при отклонении 3% и не менее 150 Вт при отклонении в пределах 5%. Так как сама плата потребляет по данному каналу в пределах 10 Вт, высокая мощность может потребоваться для питания карт расширения — например, для видеокарт без дополнительного разъема питания, которые обычно имеют потребление в пределах 75 Вт.
И тут тоже результаты мягко говоря не выдающиеся. При действительно мощной нагрузке отклонение стремится к 5%, а иногда и превышает его.
Экономичность и эффективность
При оценке эффективности компьютерного блока питания можно идти двумя путями. Первый путь заключается в оценке компьютерного блока питания как отдельного преобразователя электрической энергии с дальнейшей попыткой минимизировать сопротивление линии передачи электрической энергии от БП к нагрузке (где и измеряется ток и напряжение на выходе БП). Для этого блок питания обычно подключается всеми имеющимися разъемами, что ставит разные блоки питания в неравные условия, так как набор разъемов и количество токоведущих проводов зачастую разное даже у блоков питания одинаковой мощности. Таким образом, хотя результаты получаются корректными для каждого конкретного источника питания, в реальных условиях полученные данные малоприменимы, поскольку в реальных условиях блок питания подключается ограниченным количеством разъемов, а не всеми сразу. Поэтому логичным представляется вариант определения эффективности (экономичности) компьютерного блока питания не только на фиксированных значениях мощности, включая распределение мощности по каналам, но и с фиксированным набором разъемов для каждого значения мощности.
Представление эффективности компьютерного блока питания в виде значения КПД (коэффициента полезного действия) имеет свои традиции. Прежде всего, КПД — это коэффициент, определяемый соотношением мощностей на выходе и на входе блока питания, то есть КПД показывает эффективность преобразования электрической энергии. Обычному же пользователю данный параметр почти ничего не скажет, за исключением того, что более высокий КПД вроде как говорит о большей экономичности БП и более высоком его качестве. Зато КПД стал отличным маркетинговым якорем, особенно в комбинацией с сертификатом 80Plus. Однако с практической точки зрения КПД не оказывает заметного влияния на функционирование системного блока: он не увеличивает производительность, не снижает шум или температуру внутри системного блока. Это просто технический параметр, уровень которого в основном определяется развитием промышленности в текущий момент времени и себестоимостью продукта. Для пользователя же максимизация КПД выливается в увеличение розничной цены.
С другой стороны, иногда нужно объективно оценить экономичность компьютерного блока питания. Под экономичностью мы подразумеваем потерю мощности при преобразовании электроэнергии и ее передаче к конечным потребителям. И для оценки этого КПД не нужен, так как можно использовать не отношение двух величин, а абсолютные значения: рассеиваемую мощность (разницу между значениями на входе и выходе блока питания), а также потребление энергии источником питания за определенное время (день, месяц, год и т. д.) при работе с постоянной нагрузкой (мощностью). Это позволяет легко увидеть реальную разницу в потреблении электроэнергии конкретными моделями БП и при необходимости рассчитать экономическую выгоду от использования более дорогих источников питания.
Таким образом, на выходе мы получаем понятный для всех параметр — рассеиваемую мощность, которая легко преобразуется в киловатт-часы (кВт·ч), которые и регистрирует счетчик электрической энергии. Умножив полученное значение на стоимость киловатт-часа, получим стоимость электрической энергии при условии эксплуатации системного блока круглосуточно в течение года. Подобный вариант, конечно, чисто гипотетический, но он позволяет оценить разницу между стоимостью эксплуатации компьютера с различными источниками питания в течение длительного периода времени и сделать выводы об экономической целесообразности приобретения конкретной модели БП. В реальных условиях высчитанное значение может достигаться за более долгий период — например, от 3 лет и более. При необходимости каждый желающий может разделить полученное значение на нужный коэффициент в зависимости от количества часов в сутках, в течение которых системный блок эксплуатируется в указанном режиме, чтобы получить расход электроэнергии за год.
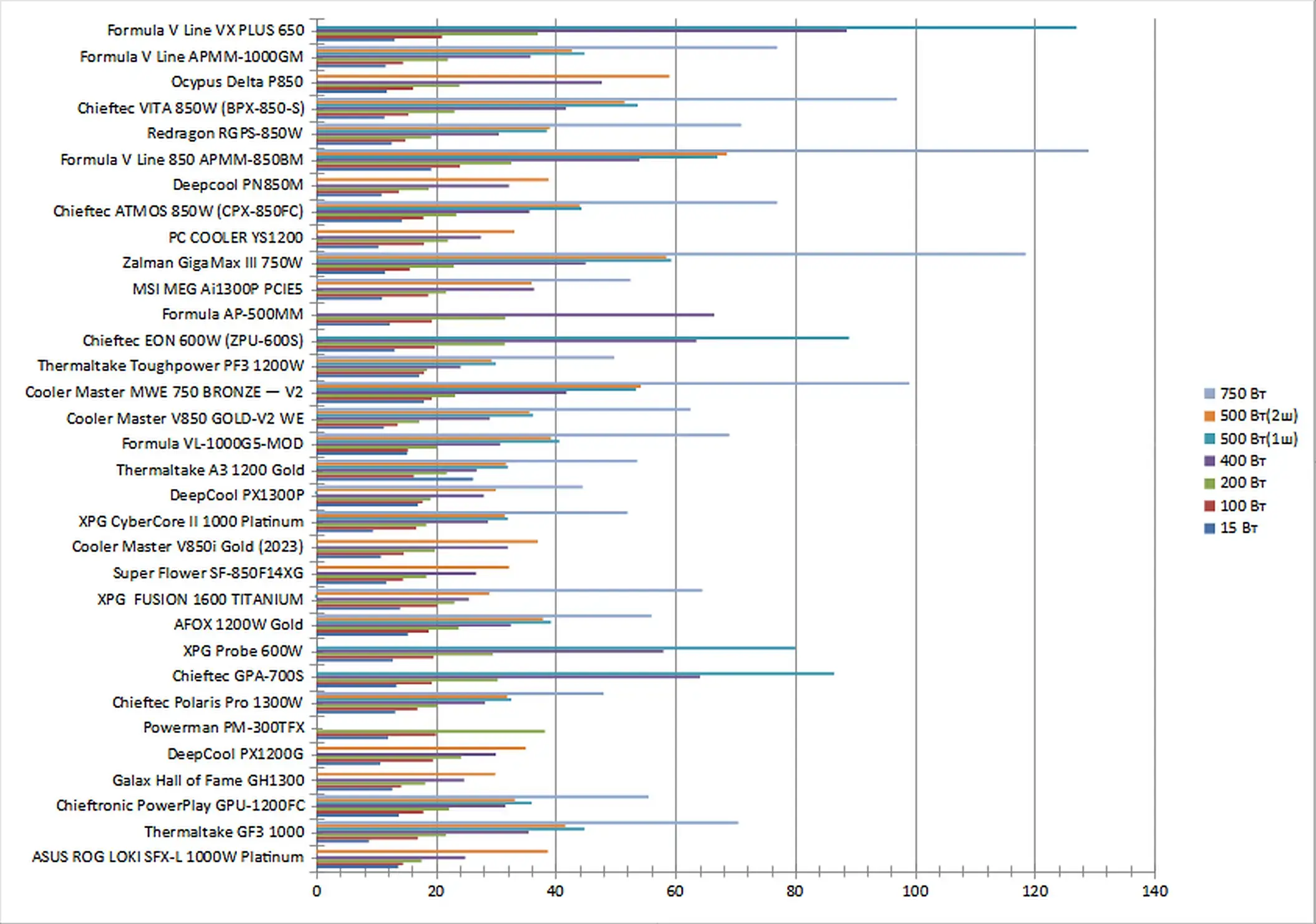
Мы решили выделить несколько типовых вариантов по мощности и соотнести их с количеством разъемов, которое соответствует данным вариантам, то есть максимально приблизить методику измерения экономичности к условиям, которые достигаются в реальном системном блоке. Вместе с тем, это позволит оценивать экономичность разных блоков питания в полностью одинаковых условиях.
| Нагрузка через разъемы | 12VDC, Вт | 5VDC, Вт | 3.3VDC, Вт | Общая мощность, Вт |
|---|---|---|---|---|
| основной ATX, процессорный (12 В), SATA | 5 | 5 | 5 | 15 |
| основной ATX, процессорный (12 В), SATA | 80 | 15 | 5 | 100 |
| основной ATX, процессорный (12 В), SATA | 180 | 15 | 5 | 200 |
| основной ATX, процессорный (12 В), 6-контактный PCIe, SATA | 380 | 15 | 5 | 400 |
| основной ATX, процессорный (12 В), 6-контактные PCIe (1 шнур с 2 разъемами), SATA | 480 | 15 | 5 | 500 |
| основной ATX, процессорный (12 В), 6-контактные PCIe (2 шнура по 1 разъему), SATA | 480 | 15 | 5 | 500 |
| основной ATX, процессорный (12 В), 6-контактные PCIe (2 шнура по 2 разъема), SATA | 730 | 15 | 5 | 750 |
Полученные результаты выглядят следующим образом:
| Рассеиваемая мощность, Вт | 15 Вт | 100 Вт | 200 Вт | 400 Вт | 500 Вт (1 шнур) | 500 Вт (2 шнура) | 750 Вт |
|---|---|---|---|---|---|---|---|
| Cougar BXM 700 | 12,0 | 18,2 | 26,0 | 42,8 | 57,4 | 57,1 | |
| Cooler Master Elite 600 V4 | 11,4 | 17,8 | 30,1 | 65,7 | 93,0 | ||
| Cougar GEX 850 | 11,8 | 14,5 | 20,6 | 32,6 | 41,0 | 40,5 | 72,5 |
| Cooler Master V650 SFX | 7,8 | 13,8 | 19,6 | 33,0 | 42,4 | 41,4 | |
| Chieftec BDF-650C | 13,0 | 19,0 | 27,6 | 35,5 | 69,8 | 67,3 | |
| XPG Core Reactor 750 | 8,0 | 14,3 | 18,5 | 30,7 | 41,8 | 40,4 | 72,5 |
| Deepcool DQ650-M-V2L | 11,0 | 13,8 | 19,5 | 34,7 | 44,0 | ||
| Deepcool DA600-M | 13,6 | 19,8 | 30,0 | 61,3 | 86,0 | ||
| Fractal Design Ion Gold 850 | 14,9 | 17,5 | 21,5 | 37,2 | 47,4 | 45,2 | 80,2 |
| XPG Pylon 750 | 11,1 | 15,4 | 21,7 | 41,0 | 57,0 | 56,7 | 111,0 |
| Chieftronic PowerUp GPX-850FC | 12,8 | 15,9 | 21,4 | 33,2 | 39,4 | 38,2 | 69,3 |
| MSI MPG A750GF | 11,5 | 15,7 | 21,0 | 30,6 | 39,2 | 38,0 | 69,0 |
| Chieftronic PowerPlay GPU-850FC | 12,0 | 15,9 | 19,7 | 28,1 | 34,0 | 33,3 | 56,0 |
| Cooler Master MWE Gold 750 V2 | 12,2 | 16,0 | 21,0 | 34,6 | 42,0 | 41,6 | 76,4 |
| XPG Pylon 450 | 12,6 | 18,5 | 28,4 | 63,0 | |||
| Chieftronic PowerUp GPX-550FC | 12,2 | 15,4 | 21,6 | 35,7 | 47,1 | ||
| Chieftec BBS-500S | 13,3 | 16,3 | 22,2 | 38,6 | |||
| Cougar VTE X2 600 | 13,3 | 18,3 | 28,0 | 49,3 | 64,2 | ||
| Thermaltake GX1 500 | 12,8 | 14,1 | 19,5 | 34,8 | 47,6 | ||
| Thermaltake BM2 450 | 12,2 | 16,7 | 26,3 | 57,9 | |||
| Super Flower SF-750P14XE | 14,0 | 16,5 | 23,0 | 35,0 | 42,0 | 44,0 | 76,0 |
| XPG Core Reactor 850 | 9,8 | 14,9 | 18,1 | 29,0 | 38,4 | 37,0 | 63,0 |
| Asus TUF Gaming 750B | 11,1 | 13,8 | 20,7 | 38,6 | 50,7 | 49,3 | 93,0 |
| Chieftronic BDK-650FC | 12,6 | 14,3 | 20,4 | 41,1 | 53,5 | 50,6 | |
| Cooler Master XG Plus 750 Platinum | 13,8 | 14,2 | 18,9 | 36,5 | 43,0 | 40,0 | 61,1 |
| Chieftec GPC-700S | 15,6 | 21,4 | 30,9 | 63,5 | 84,0 | ||
| Zalman ZM700-TXIIv2 | 12,5 | 19,5 | 30,8 | 62,0 | 83,0 | 80,0 | |
| Cooler Master V850 Platinum | 17,8 | 20,1 | 24,6 | 34,5 | 38,3 | 37,8 | 58,5 |
| Chieftec CSN-650C | 10,7 | 12,5 | 17,5 | 32,0 | 43,5 | ||
| Powerman PM-300TFX | 12,0 | 20,0 | 38,2 | ||||
| Chieftec GPA-700S | 13,4 | 19,3 | 30,3 | 64,1 | 86,5 | ||
| XPG Probe 600W | 12,8 | 19,6 | 29,5 | 58,0 | 80,0 | ||
| Super Flower Leadex VII XG 850W | 11,7 | 14,5 | 18,4 | 26,7 | 32,2 | ||
| Cooler Master V850 Gold i Multi | 10,8 | 14,6 | 19,8 | 32,0 | 37,0 | ||
| Cooler Master V850 Gold V2 WE | 11,3 | 13,6 | 17,2 | 29,0 | 36,2 | 35,6 | 62,5 |
| Cooler Master MWE 750 Bronze V2 | 18,0 | 19,3 | 23,2 | 41,8 | 53,4 | 54,2 | 99,1 |
| Chieftec EON 600W (ZPU-600S) | 13,1 | 19,8 | 31,5 | 63,5 | 89,0 | ||
| Formula AP-500MM | 12,3 | 19,3 | 31,6 | 66,5 | |||
| Zalman GigaMax III 750W | 11,5 | 15,6 | 23,0 | 45,0 | 59,3 | 58,5 | 118,5 |
| Deepcool PN850M | 10,9 | 13,8 | 18,8 | 32,2 | 38,8 | ||
| Formula V-Line 850 APMM-850BM | 19,2 | 24,0 | 32,6 | 54,0 | 67,0 | 68,6 | 129,0 |
| Redragon RGPS-850W | 12,6 | 14,9 | 19,2 | 30,5 | 38,5 | 39,0 | 71,0 |
| Chieftec Atmos 850W (CPX-850FC) | 14,3 | 17,9 | 23,4 | 35,6 | 44,3 | 44,0 | 77,0 |
| Chieftec Vita 850W (BPX-850-S) | 11,4 | 15,4 | 23,1 | 41,7 | 53,7 | 51,5 | 97,0 |
| Ocypus Delta P850 | 11,8 | 16,2 | 23,9 | 47,7 | 59,0 | ||
| Formula V-Line APMM-1000GM | 11,6 | 14,5 | 22,0 | 35,8 | 44,8 | 42,7 | 77,0 |
| Formula V-Line VX Plus 650 | 13,1 | 21,0 | 37,0 | 88,6 | 127,0 |
Данная модель имеет заметно низкую экономичность во всех протестированных режимах.
| Вт | |
|---|---|
| Cooler Master V850 Gold V2 WE | 71 |
| Super Flower Leadex VII XG 850W | 71 |
| XPG Core Reactor 750 | 72 |
| XPG Core Reactor 850 | 72 |
| Chieftec CSN-650C | 73 |
| Cooler Master V650 SFX | 74 |
| Deepcool PN850M | 76 |
| Chieftronic PowerPlay GPU-850FC | 76 |
| Redragon RGPS-850W | 77 |
| Cooler Master V850 Gold i Multi | 77 |
| MSI MPG A750GF | 79 |
| Deepcool DQ650-M-V2L | 79 |
| Cougar GEX 850 | 80 |
| Thermaltake GX1 500 | 81 |
| Chieftronic PowerUp GPX-850FC | 83 |
| Cooler Master XG Plus 750 Platinum | 83 |
| Cooler Master MWE Gold 750 V2 | 84 |
| Asus TUF Gaming 750B | 84 |
| Chieftronic PowerUp GPX-550FC | 85 |
| Chieftronic BDK-650FC | 88 |
| Super Flower SF-750P14XE | 89 |
| XPG Pylon 750 | 89 |
| Chieftec BBS-500S | 90 |
| Fractal Design Ion Gold 850 | 91 |
| Chieftec Atmos 850W (CPX-850FC) | 91 |
| Chieftec Vita 850W (BPX-850-S) | 92 |
| Zalman GigaMax III 750W | 95 |
| Chieftec BDF-650C | 95 |
| Cooler Master V850 Platinum | 97 |
| Cougar BXM 700 | 99 |
| Ocypus Delta P850 | 100 |
| Cooler Master MWE 750 Bronze V2 | 102 |
| Cougar VTE X2 600 | 109 |
| Thermaltake BM2 450 | 113 |
| XPG Probe 600W | 120 |
| XPG Pylon 450 | 123 |
| Deepcool DA600-M | 125 |
| Zalman ZM700-TXIIv2 | 125 |
| Cooler Master Elite 600 V4 | 125 |
| Chieftec GPA-700S | 127 |
| Chieftec EON 600W (ZPU-600S) | 128 |
| Formula AP-500MM | 130 |
| Formula V-Line 850 APMM-850BM | 130 |
| Chieftec GPC-700S | 131 |
| Formula V-Line VX Plus 650 | 160 |
По суммарной экономичности на низкой и средней мощности данная модель с большим отрывом занимает почетное последнее место в нашем списке БП на момент тестирования.
| Потребление энергии компьютером за год, кВт·ч | 15 Вт | 100 Вт | 200 Вт | 400 Вт | 500 Вт (1 шнур) | 500 Вт (2 шнура) | 750 Вт |
|---|---|---|---|---|---|---|---|
| Cougar BXM 700 | 237 | 1035 | 1980 | 3879 | 4883 | 4880 | |
| Cooler Master Elite 600 V4 | 231 | 1032 | 2016 | 4080 | 5195 | ||
| Cougar GEX 850 | 235 | 1003 | 1933 | 3790 | 4739 | 4735 | 7205 |
| Cooler Master V650 SFX | 200 | 997 | 1924 | 3793 | 4751 | 4743 | |
| Chieftec BDF-650C | 245 | 1042 | 1994 | 3815 | 4991 | 4970 | |
| XPG Core Reactor 750 | 202 | 1001 | 1914 | 3773 | 4746 | 4734 | 7205 |
| Deepcool DQ650-M-V2L | 228 | 997 | 1923 | 3808 | 4765 | ||
| Deepcool DA600-M | 251 | 1049 | 2015 | 4041 | 5133 | ||
| Fractal Design Ion Gold 850 | 262 | 1029 | 1940 | 3830 | 4795 | 4776 | 7273 |
| XPG Pylon 750 | 229 | 1011 | 1942 | 3863 | 4879 | 4877 | 7542 |
| Chieftronic PowerUp GPX-850FC | 244 | 1015 | 1940 | 3795 | 4725 | 4715 | 7177 |
| MSI MPG A750GF | 232 | 1014 | 1936 | 3772 | 4723 | 4713 | 7174 |
| Chieftronic PowerPlay GPU-850FC | 237 | 1015 | 1925 | 3750 | 4678 | 4672 | 7061 |
| Cooler Master MWE Gold 750 V2 | 238 | 1016 | 1936 | 3807 | 4748 | 4744 | 7239 |
| XPG Pylon 450 | 242 | 1038 | 2001 | 4056 | |||
| Chieftronic PowerUp GPX-550FC | 238 | 1011 | 1941 | 3817 | 4793 | ||
| Chieftec BBS-500S | 248 | 1019 | 1947 | 3842 | |||
| Cougar VTE X2 600 | 248 | 1036 | 1997 | 3936 | 4942 | ||
| Thermaltake GX1 500 | 244 | 1000 | 1923 | 3809 | 4797 | ||
| Thermaltake BM2 450 | 238 | 1022 | 1982 | 4011 | |||
| Super Flower SF-750P14XE | 254 | 1021 | 1954 | 3811 | 4748 | 4765 | 7236 |
| XPG Core Reactor 850 | 217 | 1007 | 1911 | 3758 | 4716 | 4704 | 7122 |
| Asus TUF Gaming 750B | 229 | 997 | 1933 | 3842 | 4824 | 4812 | 7385 |
| Chieftronic BDK-650FC | 242 | 1001 | 1931 | 3864 | 4849 | 4823 | |
| Cooler Master XG Plus 750 Platinum | 252 | 1000 | 1918 | 3824 | 4757 | 4730 | 7105 |
| Chieftec GPC-700S | 268 | 1064 | 2023 | 4060 | 5116 | ||
| Zalman ZM700-TXIIv2 | 241 | 1047 | 2022 | 4047 | 5107 | 5081 | |
| Cooler Master V850 Platinum | 287 | 1052 | 1968 | 3806 | 4716 | 4711 | 7083 |
| Chieftec CSN-650C | 225 | 986 | 1905 | 3784 | 4761 | ||
| Powerman PM-300TFX | 237 | 1051 | 2087 | ||||
| Chieftec GPA-700S | 249 | 1045 | 2017 | 4066 | 5138 | ||
| XPG Probe 600W | 244 | 1048 | 2010 | 4012 | 5081 | ||
| Super Flower Leadex VII XG 850W | 234 | 1003 | 1913 | 3738 | 4662 | ||
| Cooler Master V850 Gold i Multi | 226 | 1004 | 1925 | 3784 | 4704 | ||
| Cooler Master V850 Gold V2 WE | 230 | 995 | 1903 | 3758 | 4697 | 4692 | 7118 |
| Cooler Master MWE 750 Bronze V2 | 289 | 1045 | 1955 | 3870 | 4848 | 4855 | 7438 |
| Chieftec EON 600W (ZPU-600S) | 246 | 1049 | 2028 | 4060 | 5160 | ||
| Formula AP-500MM | 239 | 1045 | 2029 | 4087 | |||
| Zalman GigaMax III 750W | 232 | 1013 | 1954 | 3898 | 4900 | 4893 | 7608 |
| Deepcool PN850M | 227 | 997 | 1917 | 3786 | 4720 | ||
| Formula V-Line 850 APMM-850BM | 300 | 1086 | 2038 | 3977 | 4967 | 4981 | 7700 |
| Redragon RGPS-850W | 242 | 1007 | 1920 | 3771 | 4717 | 4722 | 7192 |
| Chieftec Atmos 850W (CPX-850FC) | 257 | 1033 | 1957 | 3816 | 4768 | 4765 | 7245 |
| Chieftec Vita 850W (BPX-850-S) | 231 | 1011 | 1954 | 3869 | 4850 | 4831 | 7420 |
| Ocypus Delta P850 | 235 | 1018 | 1961 | 3922 | 4897 | ||
| Formula V-Line APMM-1000GM | 233 | 1003 | 1945 | 3818 | 4772 | 4754 | 7245 |
| Formula V-Line VX Plus 650 | 246 | 1060 | 2076 | 4280 | 5493 |
Температурный режим
В данном случае почти во всем диапазоне мощности, кроме максимального режима, термонагруженность конденсаторов находится на невысоком уровне, что можно оценить положительно.

Акустическая эргономика
При подготовке данного материала мы использовали следующую методику измерения уровня шума блоков питания. Блок питания располагается на ровной поверхности вентилятором вверх, над ним на расстоянии 0,35 метра размещается измерительный микрофон шумомера Октава 110А-Эко, которым и производится измерение уровня шума. Нагрузка блока питания осуществляется при помощи специального стенда, имеющего бесшумный режим работы. В ходе измерения уровня шума осуществляется эксплуатация блока питания на постоянной мощности в течение 20 минут, после чего производится замер уровня шума.
Подобное расстояние до объекта измерения является наиболее приближенным для настольного размещения системного блока с установленным блоком питания. Данный метод позволяет оценить уровень шума блока питания в жестких условиях с точки зрения небольшого расстояния от источника шума до пользователя. При увеличении расстояния до источника шума и появлении дополнительных преград, имеющих хорошую звукоотражающую способность, уровень шума в контрольной точке также будет снижаться, что приведет к улучшению акустической эргономики в целом.

При работе на мощности до 200 Вт шум блока питания находится на пониженном уровне для жилого помещения в дневное время суток — около 29 дБА с расстояния 0,35 метра.
На мощности 300 Вт шум скачкообразно увеличивается, но для жилого помещения в дневное время суток его можно считать средним.
Однако при дальнейшем увеличении выходной мощности уровень шума повышается еще сильнее, и уже при работе на мощности 400 Вт превышает 40 дБА, то есть становится высоким для жилого помещения в дневное время суток.
При работе на мощности 500 Вт шум уже очень высокий не только для жилого, но и для офисного помещения — более 50 дБА.
Таким образом, с точки зрения акустической эргономики данная модель обеспечивает комфорт при выходной мощности в пределах 200 Вт и относительный комфорт — в пределах 300 Вт, но минимального уровня шума даже при низкой нагрузке владелец данной модели не получит.
Также мы оцениваем уровень шума электроники блока питания, поскольку в некоторых случаях она является источником нежелательных призвуков. Данный этап тестирования осуществляется путем определения разницы между уровнем шума в нашей лаборатории с включенным блоком питания и с выключенным. В случае, если полученное значение находится в пределах 5 дБА, никаких отклонений в акустических свойствах БП нет. При разнице более 10 дБА, как правило, есть определенные дефекты, которые можно услышать с расстояния менее полуметра. На данном этапе измерений микрофон шумомера располагается на расстоянии около 40 мм от верхней плоскости БП, так как на бо́льших расстояниях измерение шума электроники весьма затруднительно. Измерение производится в двух режимах: дежурном режиме (STB, или Stand by) и при работающем на нагрузку БП, но с принудительно остановленным вентилятором.
В режиме ожидания шум электроники почти полностью отсутствует. В целом шум электроники можно считать очень низким: превышение фонового шума составило не более 2 дБА.
Потребительские качества
Потребительские качества блока питания Formula V-Line VX Plus 650 можно назвать едва приемлемыми. Нагрузочная способность канала +12VDC откровенно низкая, поэтому использование данного БП в действительно мощной системе может быть сопряжено с большими трудностями.
Акустическая эргономика на высокой мощности ужасная, и лишь при нагрузке до 300 Вт шум можно считать приемлемым. Длина проводов у БП также небольшая, что будет усложнять сборку систем в большинстве современных полноразмерных корпусов.
Итоги
Блок питания Formula V-Line VX Plus 650 успешно пережил все наши тесты и не утратил работоспособность, что является безусловным достоинством.
Был ли смысл настолько удешевлять эту модель и формально заявлять для нее мощность 650 Вт? Такую нагрузку она способна потянуть исключительно на тестовом стенде. Этот блок питания может быть пригоден для установки в какие-то устаревшие компьютеры, которые нуждаются в апгрейде, но покупать в них дорогостоящие новые БП не имеет смысла. В новую же систему такой блок питания приобретать не стоит.
В заключение предлагаем посмотреть наш видеообзор блока питания Formula V-Line VX Plus 650:







