Оглавление
- Характеристики
- Провода и разъемы
- Длина проводов до разъемов питания
- Схемотехника и охлаждение
- Измерение электрических характеристик
- Работа на максимальной мощности
- Кросс-нагрузочная характеристика
- Нагрузочная способность
- Экономичность и эффективность
- Температурный режим
- Акустическая эргономика
- Потребительские качества
- Итоги
Мы протестировали очередной продукт компании Cooler Master — V850 Gold-V2 White Edition. Он представляет собой источник питания с сертификатом 80Plus Gold, то есть не самый дорогой. Всего в серии V Gold второй версии выпускается четыре модели БП мощностью 550, 650, 750 и 850 Вт, так что в нашем распоряжении оказалась старшая модель в линейке. На момент подготовки обзора ее розничная стоимость составляла от 13 до 17 тысяч рублей.
Кстати, информацию о продуктах Cooler Master лучше искать на глобальном сайте компании, так как русская версия сайта заброшена.
Система охлаждения может работать в двух режимах: в гибридном, когда вентилятор при некоторых условиях не вращается, и в обычном — с постоянно вращающимся вентилятором. Переключаются режимы двухпозиционной кнопкой на внешней панели корпуса БП (позиция On соответствует гибридному режиму).
Длина корпуса БП составляет около 160 мм, дополнительно понадобится 15-20 мм для подвода проводов, поэтому при монтаже стоит рассчитывать на установочный размер порядка 180 мм. Для блоков питания подобной мощности эти размеры можно считать максимально компактными.
Упаковка представляет собой картонную коробку достаточной прочности с матовой полиграфией и иллюстрацией, на которой изображен сам блок питания. В оформлении преобладают оттенки черного и фиолетового цветов.
Характеристики
Все необходимые параметры указаны на корпусе блока питания в полном объеме, для мощности шины +12VDC заявлено значение 849,6 Вт. Соотношение мощности по шине +12VDC и полной мощности составляет около 100% (99,95%), что, разумеется, является отличным показателем.
Провода и разъемы
| Наименование разъема | Количество разъемов | Примечания |
|---|---|---|
| 24 pin Main Power Connector | 1 | разборный |
| 4 pin 12V Power Connector | — | |
| 8 pin SSI Processor Connector | 2 | один разборный |
| 6 pin PCIe 1.0 VGA Power Connector | — | |
| 8 pin PCIe 2.0 VGA Power Connector | 6 | на 3 шнурах |
| 16 pin PCIe 5.0 VGA Power Connector | — | |
| 4 pin Peripheral Connector | 4 | |
| 15 pin Serial ATA Connector | 12 | на 3 шнурах |
| 4 pin Floppy Drive Connector | — |
Длина проводов до разъемов питания
Все без исключения провода являются модульными, то есть их можно снять, оставив лишь те, которые необходимы для конкретной системы.
- 1 шнур: до основного разъема АТХ — 65 см
- 2 шнура: до процессорного разъема 8 pin SSI — 65 см
- 3 шнура: до первого разъема питания видеокарты PCIe 2.0 VGA Power Connector — 60 см, плюс еще 12 см до второго такого же разъема
- 3 шнура: до первого разъема SATA Power Connector — 50 см, плюс 12 см до второго, еще 12 см до третьего и еще 12 см до четвертого такого же разъема
- 1 шнур: до первого разъема Peripheral Connector («молекс») — 50 см, плюс 12 см до второго, еще 12 см до третьего и еще 12 см до четвертого такого же разъема
Длина проводов является достаточной для комфортного использования в корпусах типоразмера full tower и более габаритных с верхним расположением блока питания. В корпусах высотой до 55 см с нижнерасположенным блоком питания длина проводов также должна быть достаточной: до разъемов питания процессора — по 65 сантиметров. Таким образом, с большинством современных корпусов проблем быть не должно.
Все разъемы SATA Power угловые, а использование таких разъемов не слишком удобно в случае накопителей, размещаемых с тыльной стороны основания для системной платы. Также в комплекте хотелось бы видеть не только стандартные шнуры, рассчитанные на подключение трех устройств, но и шнуры с 1-2 разъемами питания с прямым штекером для подключения устройств в местах со сложным доступом. С положительной стороны стоит отметить использование ленточных проводов, которые удобнее в эксплуатации, так как не собирают пыль.
Схемотехника и охлаждение
Блок питания оснащен активным корректором коэффициента мощности и имеет довольно широкий диапазон питающих напряжений от 100 до 240 вольт. Это обеспечивает устойчивость к понижению напряжения в электросети ниже нормативных значений.
Конструкция блока питания вполне соответствует современным тенденциям: активный корректор коэффициента мощности, синхронный выпрямитель для канала +12VDC, независимые импульсные преобразователи постоянного тока для линий +3.3VDC и +5VDC.
Полупроводниковые элементы высоковольтных цепей размещены на двух радиаторах, там же расположен и входной выпрямитель. Элементы синхронного выпрямителя установлены на дочерней печатной плате, которая размещена вертикально. На элементах синхронного выпрямителя имеется собственный радиатор, установленный через термоинтерфейс.
Независимые источники +3.3VDC и 5VDC установлены на дочерней печатной плате и, по традиции, дополнительных теплоотводов не имеют — это вполне типично для блоков питания с активным охлаждением.
В устройстве установлены конденсаторы с жидким электролитом, имеющие японское происхождение: высоковольтные Toshin Kogyo (TK) и низковольтные Rubycon. Установлено тут и большое количество полимерных конденсаторов.
В блоке питания установлен вентилятор HA13525H12F-Z (2300 об/мин), он основан на гидродинамическом подшипнике, что подразумевает очень долгий срок службы. Изготовлен вентилятор компанией Dongguan Honghua Electronic Technology. Подключение вентилятора — двухпроводное, через разъем.
Измерение электрических характеристик
Далее мы переходим к инструментальному исследованию электрических характеристик источника питания при помощи многофункционального стенда и другого оборудования.
Величина отклонения выходных напряжений от номинала кодируется цветом следующим образом:
| Цвет | Диапазон отклонения | Качественная оценка |
|---|---|---|
| более 5% | неудовлетворительно | |
| +5% | плохо | |
| +4% | удовлетворительно | |
| +3% | хорошо | |
| +2% | очень хорошо | |
| 1% и менее | отлично | |
| −2% | очень хорошо | |
| −3% | хорошо | |
| −4% | удовлетворительно | |
| −5% | плохо | |
| более 5% | неудовлетворительно |
Работа на максимальной мощности
Первым этапом испытаний является эксплуатация блока питания на максимальной мощности продолжительное время. Такой тест с уверенностью позволяет удостовериться в работоспособности БП.

Кросс-нагрузочная характеристика
Следующим этапом инструментального тестирования является построение кросснагрузочной характеристики (КНХ) и представление ее на четвертьплоскости, ограниченной максимальной мощностью по шине 3,3&5 В с одной стороны (по оси ординат) и максимальной мощностью по шине 12 В с другой (по оси абсцисс). В каждой точке измеренное значение напряжения обозначается цветовым маркером в зависимости от отклонения от номинального значения.



КНХ позволяет нам определить, какой уровень нагрузки можно считать допустимым, особенно по каналу +12VDC, для тестируемого экземпляра. В данном случае отклонения действующих значений напряжения от номинала по каналу +12VDC не превышают 3% во всем диапазоне мощности, что является хорошим результатом, особенно с учетом того, что отклонение тут в сторону увеличения параметра при низкой нагрузке, так что никаких проблем при высокой нагрузке не ожидается. Более того, современные БП имеют тенденцию завышать напряжение по линии 12 В (как единственной серьезно нагруженной), это не случайное отклонение от номинала вследствие брака или неверно рассчитанных параметров.
При типичном распределении мощности по каналам отклонения от номинала не превышают 1% по каналу +3.3VDC, 3% по каналу +5VDC и 3% по каналу +12VDC.
Данная модель БП хорошо подходит для мощных современных систем из-за высокой практической нагрузочной способности канала +12VDC.
Нагрузочная способность
Следующий тест призван определить максимальную мощность, которую можно подать через соответствующие разъемы при нормированном отклонении значения напряжения в размере 3 или 5 процентов от номинала.

В случае видеокарты с единственным разъемом питания максимальная мощность по каналу +12VDC составляет не менее 150 Вт при отклонении в пределах 3%.

В случае видеокарты с двумя разъемами питания при использовании одного шнура питания максимальная мощность по каналу +12VDC составляет не менее 250 Вт при отклонении в пределах 3%.

В случае видеокарты с двумя разъемами питания при использовании двух шнуров питания максимальная мощность по каналу +12VDC составляет не менее 350 Вт при отклонении в пределах 3%, что позволяет использовать очень мощные видеокарты.

При нагрузке через три разъема PCIe 2.0 максимальная мощность по каналу +12VDC составляет не менее 650 Вт при отклонении в пределах 3%.

При нагрузке через разъем питания процессора максимальная мощность по каналу +12VDC составляет не менее 250 Вт при отклонении в пределах 3%. Этого вполне достаточно для типовых систем, у которых на системной плате есть только один разъем для питания процессора.

При нагрузке через два разъема питания процессора максимальная мощность по каналу +12VDC составляет не менее 500 Вт при отклонении в пределах 3%.

В случае системной платы максимальная мощность по каналу +12VDC составляет не менее 150 Вт при отклонении 3%. Так как сама плата потребляет по данному каналу в пределах 10 Вт, высокая мощность может потребоваться для питания карт расширения — например, для видеокарт без дополнительного разъема питания, которые обычно имеют потребление в пределах 75 Вт, правда, маловероятно, что с этим блоком питания их кто-то будет использовать.
Экономичность и эффективность
При оценке эффективности компьютерного блока питания можно идти двумя путями. Первый путь заключается в оценке компьютерного блока питания как отдельного преобразователя электрической энергии с дальнейшей попыткой минимизировать сопротивление линии передачи электрической энергии от БП к нагрузке (где и измеряется ток и напряжение на выходе БП). Для этого блок питания обычно подключается всеми имеющимися разъемами, что ставит разные блоки питания в неравные условия, так как набор разъемов и количество токоведущих проводов зачастую разное даже у блоков питания одинаковой мощности. Таким образом, хотя результаты получаются корректными для каждого конкретного источника питания, в реальных условиях полученные данные малоприменимы, поскольку в реальных условиях блок питания подключается ограниченным количеством разъемов, а не всеми сразу. Поэтому логичным представляется вариант определения эффективности (экономичности) компьютерного блока питания не только на фиксированных значениях мощности, включая распределение мощности по каналам, но и с фиксированным набором разъемов для каждого значения мощности.
Представление эффективности компьютерного блока питания в виде значения КПД (коэффициента полезного действия) имеет свои традиции. Прежде всего, КПД — это коэффициент, определяемый соотношением мощностей на выходе и на входе блока питания, то есть КПД показывает эффективность преобразования электрической энергии. Обычному же пользователю данный параметр почти ничего не скажет, за исключением того, что более высокий КПД вроде как говорит о большей экономичности БП и более высоком его качестве. Зато КПД стал отличным маркетинговым якорем, особенно в комбинацией с сертификатом 80Plus. Однако с практической точки зрения КПД не оказывает заметного влияния на функционирование системного блока: он не увеличивает производительность, не снижает шум или температуру внутри системного блока. Это просто технический параметр, уровень которого в основном определяется развитием промышленности в текущий момент времени и себестоимостью продукта. Для пользователя же максимизация КПД выливается в увеличение розничной цены.
С другой стороны, иногда нужно объективно оценить экономичность компьютерного блока питания. Под экономичностью мы подразумеваем потерю мощности при преобразовании электроэнергии и ее передаче к конечным потребителям. И для оценки этого КПД не нужен, так как можно использовать не отношение двух величин, а абсолютные значения: рассеиваемую мощность (разницу между значениями на входе и выходе блока питания), а также потребление энергии источником питания за определенное время (день, месяц, год и т. д.) при работе с постоянной нагрузкой (мощностью). Это позволяет легко увидеть реальную разницу в потреблении электроэнергии конкретными моделями БП и при необходимости рассчитать экономическую выгоду от использования более дорогих источников питания.
Таким образом, на выходе мы получаем понятный для всех параметр — рассеиваемую мощность, которая легко преобразуется в киловатт-часы (кВт·ч), которые и регистрирует счетчик электрической энергии. Умножив полученное значение на стоимость киловатт-часа, получим стоимость электрической энергии при условии эксплуатации системного блока круглосуточно в течение года. Подобный вариант, конечно, чисто гипотетический, но он позволяет оценить разницу между стоимостью эксплуатации компьютера с различными источниками питания в течение длительного периода времени и сделать выводы об экономической целесообразности приобретения конкретной модели БП. В реальных условиях высчитанное значение может достигаться за более долгий период — например, от 3 лет и более. При необходимости каждый желающий может разделить полученное значение на нужный коэффициент в зависимости от количества часов в сутках, в течение которых системный блок эксплуатируется в указанном режиме, чтобы получить расход электроэнергии за год.
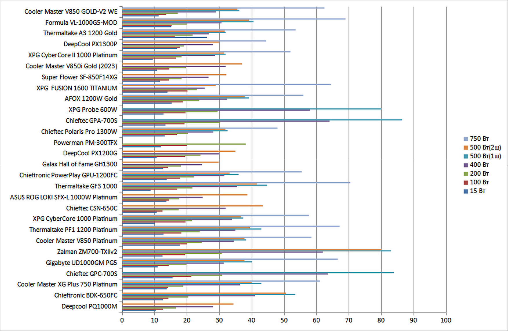
Мы решили выделить несколько типовых вариантов по мощности и соотнести их с количеством разъемов, которое соответствует данным вариантам, то есть максимально приблизить методику измерения экономичности к условиям, которые достигаются в реальном системном блоке. Вместе с тем, это позволит оценивать экономичность разных блоков питания в полностью одинаковых условиях.
| Нагрузка через разъемы | 12VDC, Вт | 5VDC, Вт | 3.3VDC, Вт | Общая мощность, Вт |
|---|---|---|---|---|
| основной ATX, процессорный (12 В), SATA | 5 | 5 | 5 | 15 |
| основной ATX, процессорный (12 В), SATA | 80 | 15 | 5 | 100 |
| основной ATX, процессорный (12 В), SATA | 180 | 15 | 5 | 200 |
| основной ATX, процессорный (12 В), 6-контактный PCIe, SATA | 380 | 15 | 5 | 400 |
| основной ATX, процессорный (12 В), 6-контактные PCIe (1 шнур с 2 разъемами), SATA | 480 | 15 | 5 | 500 |
| основной ATX, процессорный (12 В), 6-контактные PCIe (2 шнура по 1 разъему), SATA | 480 | 15 | 5 | 500 |
| основной ATX, процессорный (12 В), 6-контактные PCIe (2 шнура по 2 разъема), SATA | 730 | 15 | 5 | 750 |
Полученные результаты выглядят следующим образом:
| Рассеиваемая мощность, Вт | 15 Вт | 100 Вт | 200 Вт | 400 Вт | 500 Вт (1 шнур) | 500 Вт (2 шнура) | 750 Вт |
|---|---|---|---|---|---|---|---|
| Cooler Master MWE 750 Bronze V2 | 15,9 | 22,7 | 25,9 | 43,0 | 58,5 | 56,2 | 102,0 |
| Cougar BXM 700 | 12,0 | 18,2 | 26,0 | 42,8 | 57,4 | 57,1 | |
| Cooler Master Elite 600 V4 | 11,4 | 17,8 | 30,1 | 65,7 | 93,0 | ||
| Cougar GEX 850 | 11,8 | 14,5 | 20,6 | 32,6 | 41,0 | 40,5 | 72,5 |
| Cooler Master V650 SFX | 7,8 | 13,8 | 19,6 | 33,0 | 42,4 | 41,4 | |
| Chieftec BDF-650C | 13,0 | 19,0 | 27,6 | 35,5 | 69,8 | 67,3 | |
| XPG Core Reactor 750 | 8,0 | 14,3 | 18,5 | 30,7 | 41,8 | 40,4 | 72,5 |
| Deepcool DQ650-M-V2L | 11,0 | 13,8 | 19,5 | 34,7 | 44,0 | ||
| Deepcool DA600-M | 13,6 | 19,8 | 30,0 | 61,3 | 86,0 | ||
| Fractal Design Ion Gold 850 | 14,9 | 17,5 | 21,5 | 37,2 | 47,4 | 45,2 | 80,2 |
| XPG Pylon 750 | 11,1 | 15,4 | 21,7 | 41,0 | 57,0 | 56,7 | 111,0 |
| Chieftronic PowerUp GPX-850FC | 12,8 | 15,9 | 21,4 | 33,2 | 39,4 | 38,2 | 69,3 |
| MSI MPG A750GF | 11,5 | 15,7 | 21,0 | 30,6 | 39,2 | 38,0 | 69,0 |
| Chieftronic PowerPlay GPU-850FC | 12,0 | 15,9 | 19,7 | 28,1 | 34,0 | 33,3 | 56,0 |
| Cooler Master MWE Gold 750 V2 | 12,2 | 16,0 | 21,0 | 34,6 | 42,0 | 41,6 | 76,4 |
| XPG Pylon 450 | 12,6 | 18,5 | 28,4 | 63,0 | |||
| Chieftronic PowerUp GPX-550FC | 12,2 | 15,4 | 21,6 | 35,7 | 47,1 | ||
| Chieftec BBS-500S | 13,3 | 16,3 | 22,2 | 38,6 | |||
| Cougar VTE X2 600 | 13,3 | 18,3 | 28,0 | 49,3 | 64,2 | ||
| Thermaltake GX1 500 | 12,8 | 14,1 | 19,5 | 34,8 | 47,6 | ||
| Thermaltake BM2 450 | 12,2 | 16,7 | 26,3 | 57,9 | |||
| Super Flower SF-750P14XE | 14,0 | 16,5 | 23,0 | 35,0 | 42,0 | 44,0 | 76,0 |
| XPG Core Reactor 850 | 9,8 | 14,9 | 18,1 | 29,0 | 38,4 | 37,0 | 63,0 |
| Asus TUF Gaming 750B | 11,1 | 13,8 | 20,7 | 38,6 | 50,7 | 49,3 | 93,0 |
| Chieftronic BDK-650FC | 12,6 | 14,3 | 20,4 | 41,1 | 53,5 | 50,6 | |
| Cooler Master XG Plus 750 Platinum | 13,8 | 14,2 | 18,9 | 36,5 | 43,0 | 40,0 | 61,1 |
| Chieftec GPC-700S | 15,6 | 21,4 | 30,9 | 63,5 | 84,0 | ||
| Zalman ZM700-TXIIv2 | 12,5 | 19,5 | 30,8 | 62,0 | 83,0 | 80,0 | |
| Cooler Master V850 Platinum | 17,8 | 20,1 | 24,6 | 34,5 | 38,3 | 37,8 | 58,5 |
| Chieftec CSN-650C | 10,7 | 12,5 | 17,5 | 32,0 | 43,5 | ||
| Powerman PM-300TFX | 12,0 | 20,0 | 38,2 | ||||
| Chieftec GPA-700S | 13,4 | 19,3 | 30,3 | 64,1 | 86,5 | ||
| XPG Probe 600W | 12,8 | 19,6 | 29,5 | 58,0 | 80,0 | ||
| Super Flower Leadex VII XG 850W | 11,7 | 14,5 | 18,4 | 26,7 | 32,2 | ||
| Cooler Master V850 Gold i Multi | 10,8 | 14,6 | 19,8 | 32,0 | 37,0 | ||
| Cooler Master V850 Gold-V2 WE | 11,3 | 13,6 | 17,2 | 29,0 | 36,2 | 35,6 | 62,5 |
Экономичность у данной модели не экстремально высокая, но очень хорошая, это вполне типичный представитель источников питания с уровнем сертификата 80Plus Gold.
| Вт | |
|---|---|
| Super Flower Leadex VII XG 850W | 71 |
| Cooler Master V850 Gold-V2 WE | 71 |
| XPG Core Reactor 750 | 72 |
| XPG Core Reactor 850 | 72 |
| Chieftec CSN-650C | 73 |
| Cooler Master V650 SFX | 74 |
| Chieftronic PowerPlay GPU-850FC | 76 |
| Cooler Master V850 Gold i Multi | 77 |
| MSI MPG A750GF | 79 |
| Deepcool DQ650-M-V2L | 79 |
| Cougar GEX 850 | 80 |
| Thermaltake GX1 500 | 81 |
| Chieftronic PowerUp GPX-850FC | 83 |
| Cooler Master XG Plus 750 Platinum | 83 |
| Cooler Master MWE Gold 750 V2 | 84 |
| Asus TUF Gaming 750B | 84 |
| Chieftronic PowerUp GPX-550FC | 85 |
| Chieftronic BDK-650FC | 88 |
| Super Flower SF-750P14XE | 89 |
| XPG Pylon 750 | 89 |
| Chieftec BBS-500S | 90 |
| Fractal Design Ion Gold 850 | 91 |
| Chieftec BDF-650C | 95 |
| Cooler Master V850 Platinum | 97 |
| Cougar BXM 700 | 99 |
| Cooler Master MWE 750 Bronze V2 | 108 |
| Cougar VTE X2 600 | 109 |
| Thermaltake BM2 450 | 113 |
| XPG Probe 600W | 120 |
| XPG Pylon 450 | 123 |
| Deepcool DA600-M | 125 |
| Zalman ZM700-TXIIv2 | 125 |
| Cooler Master Elite 600 V4 | 125 |
| Chieftec GPA-700S | 127 |
| Chieftec GPC-700S | 131 |
А по суммарной экономичности на низкой и средней мощности данная модель и вовсе занимает лидирующее положение в нашем списке БП мощностью до киловатта на момент тестирования.
| Потребление энергии компьютером за год, кВт·ч | 15 Вт | 100 Вт | 200 Вт | 400 Вт | 500 Вт (1 шнур) | 500 Вт (2 шнура) | 750 Вт |
|---|---|---|---|---|---|---|---|
| Cooler Master MWE 750 Bronze V2 | 271 | 1075 | 1979 | 3881 | 4893 | 4872 | 7464 |
| Cougar BXM 700 | 237 | 1035 | 1980 | 3879 | 4883 | 4880 | |
| Cooler Master Elite 600 V4 | 231 | 1032 | 2016 | 4080 | 5195 | ||
| Cougar GEX 850 | 235 | 1003 | 1933 | 3790 | 4739 | 4735 | 7205 |
| Cooler Master V650 SFX | 200 | 997 | 1924 | 3793 | 4751 | 4743 | |
| Chieftec BDF-650C | 245 | 1042 | 1994 | 3815 | 4991 | 4970 | |
| XPG Core Reactor 750 | 202 | 1001 | 1914 | 3773 | 4746 | 4734 | 7205 |
| Deepcool DQ650-M-V2L | 228 | 997 | 1923 | 3808 | 4765 | ||
| Deepcool DA600-M | 251 | 1049 | 2015 | 4041 | 5133 | ||
| Fractal Design Ion Gold 850 | 262 | 1029 | 1940 | 3830 | 4795 | 4776 | 7273 |
| XPG Pylon 750 | 229 | 1011 | 1942 | 3863 | 4879 | 4877 | 7542 |
| Chieftronic PowerUp GPX-850FC | 244 | 1015 | 1940 | 3795 | 4725 | 4715 | 7177 |
| MSI MPG A750GF | 232 | 1014 | 1936 | 3772 | 4723 | 4713 | 7174 |
| Chieftronic PowerPlay GPU-850FC | 237 | 1015 | 1925 | 3750 | 4678 | 4672 | 7061 |
| Cooler Master MWE Gold 750 V2 | 238 | 1016 | 1936 | 3807 | 4748 | 4744 | 7239 |
| XPG Pylon 450 | 242 | 1038 | 2001 | 4056 | |||
| Chieftronic PowerUp GPX-550FC | 238 | 1011 | 1941 | 3817 | 4793 | ||
| Chieftec BBS-500S | 248 | 1019 | 1947 | 3842 | |||
| Cougar VTE X2 600 | 248 | 1036 | 1997 | 3936 | 4942 | ||
| Thermaltake GX1 500 | 244 | 1000 | 1923 | 3809 | 4797 | ||
| Thermaltake BM2 450 | 238 | 1022 | 1982 | 4011 | |||
| Super Flower SF-750P14XE | 254 | 1021 | 1954 | 3811 | 4748 | 4765 | 7236 |
| XPG Core Reactor 850 | 217 | 1007 | 1911 | 3758 | 4716 | 4704 | 7122 |
| Asus TUF Gaming 750B | 229 | 997 | 1933 | 3842 | 4824 | 4812 | 7385 |
| Chieftronic BDK-650FC | 242 | 1001 | 1931 | 3864 | 4849 | 4823 | |
| Cooler Master XG Plus 750 Platinum | 252 | 1000 | 1918 | 3824 | 4757 | 4730 | 7105 |
| Chieftec GPC-700S | 268 | 1064 | 2023 | 4060 | 5116 | ||
| Zalman ZM700-TXIIv2 | 241 | 1047 | 2022 | 4047 | 5107 | 5081 | |
| Cooler Master V850 Platinum | 287 | 1052 | 1968 | 3806 | 4716 | 4711 | 7083 |
| Chieftec CSN-650C | 225 | 986 | 1905 | 3784 | 4761 | ||
| Powerman PM-300TFX | 237 | 1051 | 2087 | ||||
| Chieftec GPA-700S | 249 | 1045 | 2017 | 4066 | 5138 | ||
| XPG Probe 600W | 244 | 1048 | 2010 | 4012 | 5081 | ||
| Super Flower Leadex VII XG 850W | 234 | 1003 | 1913 | 3738 | 4662 | ||
| Cooler Master V850 Gold i Multi | 226 | 1004 | 1925 | 3784 | 4704 | ||
| Cooler Master V850 Gold-V2 WE | 230 | 995 | 1903 | 3758 | 4697 | 4692 | 7118 |
Температурный режим
Все основные тесты проводились в режиме с постоянно вращающимся вентилятором. Термонагруженность конденсаторов при работе в таком режиме находится на невысоком уровне.

Также мы изучили функционирование блока питания в гибридном режиме работы системы охлаждения. В результате тестирования было установлено, что при типичных для жилого помещения условиях вентилятор в блоке питания включается только при достижении пороговой мощности 330 Вт. Скорее всего, имеется и температурный порог включения вентилятора, но достичь его нам не удалось. Отключение вентилятора происходит при снижении выходной мощности ниже 330 Вт.
При работе с остановленным вентилятором температура внутри блока питания регистрировалась на уровне около 70 градусов при мощности нагрузки около 350 Вт. Так что все-таки хотелось бы, чтобы вентилятор в гибридном режиме включался несколько раньше. На мощности менее 330 Вт блок питания в состоянии долговременно (не менее двух часов) работать в режиме с остановленным вентилятором. Скачкообразного роста уровня шума при запуске вентилятора отмечено не было. Стоит учитывать, что в случае работы с остановленным вентилятором температура компонентов внутри БП сильно зависит от температуры окружающего воздуха.
Акустическая эргономика
При подготовке данного материала мы использовали следующую методику измерения уровня шума блоков питания. Блок питания располагается на ровной поверхности вентилятором вверх, над ним на расстоянии 0,35 метра размещается измерительный микрофон шумомера Октава 110А-Эко, которым и производится измерение уровня шума. Нагрузка блока питания осуществляется при помощи специального стенда, имеющего бесшумный режим работы. В ходе измерения уровня шума осуществляется эксплуатация блока питания на постоянной мощности в течение 20 минут, после чего производится замер уровня шума.
Подобное расстояние до объекта измерения является наиболее приближенным для настольного размещения системного блока с установленным блоком питания. Данный метод позволяет оценить уровень шума блока питания в жестких условиях с точки зрения небольшого расстояния от источника шума до пользователя. При увеличении расстояния до источника шума и появлении дополнительных преград, имеющих хорошую звукоотражающую способность, уровень шума в контрольной точке также будет снижаться, что приведет к улучшению акустической эргономики в целом.

При работе с постоянно вращающимся вентилятором в диапазоне мощности до 500 Вт включительно шум блока питания находится на среднем уровне для жилого помещения в дневное время суток, однако по-настоящему низким он не является никогда.
При работе в диапазоне мощности от 750 до 850 Вт уровень шума превышает 40 дБА, поэтому шум можно оценить как высокий для жилого помещения в дневное время суток.
Таким образом, с точки зрения акустической эргономики, данная модель обеспечивает комфорт при выходной мощности в пределах 500 Вт.
Также мы оцениваем уровень шума электроники блока питания, поскольку в некоторых случаях она является источником нежелательных призвуков. Данный этап тестирования осуществляется путем определения разницы между уровнем шума в нашей лаборатории с включенным блоком питания и с выключенным. В случае, если полученное значение находится в пределах 5 дБА, никаких отклонений в акустических свойствах БП нет. При разнице более 10 дБА, как правило, есть определенные дефекты, которые можно услышать с расстояния менее полуметра. На данном этапе измерений микрофон шумомера располагается на расстоянии около 40 мм от верхней плоскости БП, так как на бо́льших расстояниях измерение шума электроники весьма затруднительно. Измерение производится в двух режимах: дежурном режиме (STB, или Stand by) и при работающем на нагрузку БП, но с принудительно остановленным вентилятором.
В режиме ожидания шум электроники почти полностью отсутствует.
| Мощность, Вт | Уровень шума со стороны решетки, дБА | Отклонение от фонового уровня, дБА |
|---|---|---|
| 15 | 28,5 | +8,5 |
| 50 | 33,0 | +13,0 |
| 100 | 32,0 | +12,0 |
| 200 | 31,3 | +11,3 |
| 300 | 31,3 | +11,3 |
К шуму электроники особых претензий нет, хотя он мог бы быть и пониже. Услышать тут его можно непосредственно над решеткой на очень небольшом расстоянии. Писков и свиста замечено не было
Потребительские качества
Потребительские качества Cooler Master V850 Gold-V2 White Edition находятся на очень хорошем уровне. Нагрузочная способность канала +12VDC высокая, что позволяет использовать данный БП в мощных системах с несколькими видеокартами. Акустическая эргономика на высокой мощности далеко не самая выдающаяся, но при нагрузках вплоть до 500 Вт шум сравнительно невысокий. В случае использования гибридного режима этот БП может длительное время работать с остановленным вентилятором на мощности менее 330 Вт, хотя и это не снижает уровень шума до по-настоящему низкого.
На мощности выше 750 Вт шум становится заметным и неприятным, но в реальных условиях компоненты, имеющие подобное потребление, сами по себе будут производить значительный шум. Длина проводов у БП достаточная для большинства современных корпусов, к тому же провода использованы исключительно ленточные и полностью съемные, что повышает удобство при сборке и дальнейшей эксплуатации.
Итоги
Cooler Master V850 Gold-V2 White Edition продемонстрировал высокую экономичность, в нем использованы вентилятор на гидродинамическом подшипнике с высоким ресурсом работы и конденсаторы японских производителей. Блок питания позволяет включить гибридный режим охлаждения, на мощности до 330 Вт он может длительно работать с остановленным вентилятором. Параметры гибридного режима вполне приемлемые, хотя температура внутри БП при этом может достигать 70 градусов, а работа в подобном температурном режиме не слишком благоприятна для конденсаторов, в том числе полимерных. Данная особенность характерна только для гибридного режима с остановленным вентилятором, в случае работы в режиме с постоянно вращающимся вентилятором термонагруженность заметно ниже.
В целом, данный блок питания вполне подходит для использования в мощных системах, особенно если использовать его в традиционном режиме с постоянно вращающимся вентилятором. Причем адекватнее он будет смотреться в рабочих системах, где не требуется совсем уж минимальный уровень шума при эксплуатации.








