Оглавление
- Характеристики
- Провода и разъемы
- Длина проводов до разъемов питания
- Схемотехника и охлаждение
- Измерение электрических характеристик
- Работа на максимальной мощности
- Кросс-нагрузочная характеристика
- Нагрузочная способность
- Экономичность и эффективность
- Температурный режим
- Акустическая эргономика
- Потребительские качества
- Итоги
Сразу вслед за «золотой» моделью обновленной серии блоков питания Cooler Master мы получили на тест еще один БП этой компании, тоже с пометкой V2. Модель MWE 750 Bronze V2 имеет более скромный «бронзовый» сертификат, а с учетом меньшей мощности этого источника питания (причем это старшая модель в серии), можно сказать, что это практически среднебюджетное решение. (Кстати, информацию о продуктах Cooler Master лучше искать на глобальном сайте компании, так как русская версия сайта заброшена.) Понятно, что это БП более скромный — в частности, его система охлаждения работает с постоянно вращающимся вентилятором, гибридный режим охлаждения не предусмотрен. Но зато и стоимость этой модели делает ее гораздо более приближенной к народу — порядка 8-9 тысяч рублей на момент публикации обзора.
Упаковка представляет собой картонную коробку достаточной прочности с матовой полиграфией и иллюстрацией, на которой изображен сам блок питания. В оформлении преобладают оттенки черного и фиолетового цветов.
Характеристики
Все необходимые параметры указаны на корпусе блока питания в полном объеме, для мощности шины +12VDC заявлено значение 750 Вт. Соотношение мощности по шине +12VDC и полной мощности составляет ровно 100%, что, разумеется, является отличным показателем.
Провода и разъемы
| Наименование разъема | Количество разъемов | Примечания |
|---|---|---|
| 24 pin Main Power Connector | 1 | разборный |
| 4 pin 12V Power Connector | — | |
| 8 pin SSI Processor Connector | 2 | на одном шнуре, один разборный |
| 6 pin PCIe 1.0 VGA Power Connector | — | |
| 8 pin PCIe 2.0 VGA Power Connector | 4 | на 2 шнурах |
| 16 pin PCIe 5.0 VGA Power Connector | — | |
| 4 pin Peripheral Connector | 4 | |
| 15 pin Serial ATA Connector | 8 | на 2 шнурах |
| 4 pin Floppy Drive Connector | — |
Длина проводов до разъемов питания
- 1 шнур: до основного разъема АТХ — 61 см
- 1 шнур: до процессорного разъема 8 pin SSI — 65 см, плюс еще 12 см до второго такого же разъема
- 2 шнура: до первого разъема питания видеокарты PCIe 2.0 VGA Power Connector — 55 см, плюс еще 12 см до второго такого же разъема
- 2 шнура: до первого разъема SATA Power Connector — 50 см, плюс 12 см до второго, еще 12 см до третьего и еще 12 см до четвертого такого же разъема
- 1 шнур: до первого разъема Peripheral Connector («молекс») — 50 см, плюс 12 см до второго, еще 12 см до третьего и еще 12 см до четвертого такого же разъема
Длина проводов является достаточной для комфортного использования в корпусах типоразмера full tower и более габаритных с верхним расположением блока питания. В корпусах высотой до 55 см с нижнерасположенным блоком питания длина проводов также должна быть достаточной: до разъема питания процессора — 65 см. Таким образом, с большинством современных корпусов проблем быть не должно.
Все разъемы SATA Power угловые, а использование таких разъемов не слишком удобно в случае накопителей, размещаемых с тыльной стороны основания для системной платы. Также в комплекте хотелось бы видеть не только стандартные шнуры, рассчитанные на подключение трех устройств, но и шнуры с 1-2 разъемами питания с прямым штекером для подключения устройств в местах со сложным доступом.
С положительной стороны стоит отметить использование ленточных проводов, которые удобнее в эксплуатации, так как не собирают пыль.
Схемотехника и охлаждение
Блок питания оснащен активным корректором коэффициента мощности и имеет довольно широкий диапазон питающих напряжений от 100 до 240 вольт. Это обеспечивает устойчивость к понижению напряжения в электросети ниже нормативных значений.
Конструкция блока питания вполне соответствует современным тенденциям: активный корректор коэффициента мощности, синхронный выпрямитель для канала +12VDC, независимые импульсные преобразователи постоянного тока для линий +3.3VDC и +5VDC.
Полупроводниковые элементы высоковольтных цепей размещены на одном радиаторе, у входного выпрямителя есть собственный теплоотвод. Элементы синхронного выпрямителя установлены на собственных радиаторах, которые размещены вертикально. С точки зрения охлаждения компонентов подобный вариант один из лучших.



Независимые источники +3.3VDC и 5VDC установлены на дочерней печатной плате и, по традиции, дополнительных теплоотводов не имеют — это вполне типично для блоков питания с активным охлаждением.
В устройстве установлены конденсаторы, выпущенные под торговой маркой Capxon. Для недорогого продукта это довольно неплохой вариант.
Установлено тут и большое количество полимерных конденсаторов.
В блоке питания установлен вентилятор HA1225H12F-Z (2300 об/мин) типоразмера 120 мм, он основан на гидродинамическом подшипнике, что подразумевает очень долгий срок службы. Изготовлен вентилятор компанией Dongguan Honghua Electronic Technology. Подключение вентилятора — двухпроводное, через разъем.
Вентилятор весьма распространенный, он встречается в широком перечне моделей, в том числе и существенно более дорогих. С учетом максимально распространенного типоразмера вентилятора, впоследствии его можно будет без особых проблем заменить.
Измерение электрических характеристик
Далее мы переходим к инструментальному исследованию электрических характеристик источника питания при помощи многофункционального стенда и другого оборудования.
Величина отклонения выходных напряжений от номинала кодируется цветом следующим образом:
| Цвет | Диапазон отклонения | Качественная оценка |
|---|---|---|
| более 5% | неудовлетворительно | |
| +5% | плохо | |
| +4% | удовлетворительно | |
| +3% | хорошо | |
| +2% | очень хорошо | |
| 1% и менее | отлично | |
| −2% | очень хорошо | |
| −3% | хорошо | |
| −4% | удовлетворительно | |
| −5% | плохо | |
| более 5% | неудовлетворительно |
Работа на максимальной мощности
Первым этапом испытаний является эксплуатация блока питания на максимальной мощности продолжительное время. Такой тест с уверенностью позволяет удостовериться в работоспособности БП.

Кросс-нагрузочная характеристика
Следующим этапом инструментального тестирования является построение кросснагрузочной характеристики (КНХ) и представление ее на четвертьплоскости, ограниченной максимальной мощностью по шине 3,3&5 В с одной стороны (по оси ординат) и максимальной мощностью по шине 12 В с другой (по оси абсцисс). В каждой точке измеренное значение напряжения обозначается цветовым маркером в зависимости от отклонения от номинального значения.



КНХ позволяет нам определить, какой уровень нагрузки можно считать допустимым, особенно по каналу +12VDC, для тестируемого экземпляра. В данном случае отклонения действующих значений напряжения от номинала по каналу +12VDC не превышают 1% во всем диапазоне мощности, что является очень хорошим результатом, особенно с учетом того, что отклонение тут в сторону увеличения параметра при низкой нагрузке, так что никаких проблем при высокой нагрузке не ожидается.
При типичном распределении мощности по каналам отклонения от номинала не превышают 3% по каналу +3.3VDC, 3% по каналу +5VDC и 1% по каналу +12VDC.
Данная модель БП хорошо подходит для мощных современных систем из-за высокой практической нагрузочной способности канала +12VDC.
Нагрузочная способность
Следующий тест призван определить максимальную мощность, которую можно подать через соответствующие разъемы при нормированном отклонении значения напряжения в размере 3 или 5 процентов от номинала.

В случае видеокарты с единственным разъемом питания максимальная мощность по каналу +12VDC составляет не менее 150 Вт при отклонении в пределах 3%.

В случае видеокарты с двумя разъемами питания при использовании одного шнура питания максимальная мощность по каналу +12VDC составляет не менее 250 Вт при отклонении в пределах 3%.

В случае видеокарты с двумя разъемами питания при использовании двух шнуров питания максимальная мощность по каналу +12VDC составляет не менее 350 Вт при отклонении в пределах 3%, что позволяет использовать очень мощные видеокарты.

При нагрузке через три разъема PCIe 2.0 максимальная мощность по каналу +12VDC составляет не менее 650 Вт при отклонении в пределах 3%.

При нагрузке через разъем питания процессора максимальная мощность по каналу +12VDC составляет не менее 250 Вт при отклонении в пределах 3%. Этого вполне достаточно для типовых систем, у которых на системной плате есть только один разъем для питания процессора.

При нагрузке через два разъема питания процессора максимальная мощность по каналу +12VDC составляет не менее 500 Вт при отклонении в пределах 3%.

В случае системной платы максимальная мощность по каналу +12VDC составляет не менее 150 Вт при отклонении 3%. Так как сама плата потребляет по данному каналу в пределах 10 Вт, высокая мощность может потребоваться для питания карт расширения — например, для видеокарт без дополнительного разъема питания, которые обычно имеют потребление в пределах 75 Вт.
Экономичность и эффективность
При оценке эффективности компьютерного блока питания можно идти двумя путями. Первый путь заключается в оценке компьютерного блока питания как отдельного преобразователя электрической энергии с дальнейшей попыткой минимизировать сопротивление линии передачи электрической энергии от БП к нагрузке (где и измеряется ток и напряжение на выходе БП). Для этого блок питания обычно подключается всеми имеющимися разъемами, что ставит разные блоки питания в неравные условия, так как набор разъемов и количество токоведущих проводов зачастую разное даже у блоков питания одинаковой мощности. Таким образом, хотя результаты получаются корректными для каждого конкретного источника питания, в реальных условиях полученные данные малоприменимы, поскольку в реальных условиях блок питания подключается ограниченным количеством разъемов, а не всеми сразу. Поэтому логичным представляется вариант определения эффективности (экономичности) компьютерного блока питания не только на фиксированных значениях мощности, включая распределение мощности по каналам, но и с фиксированным набором разъемов для каждого значения мощности.
Представление эффективности компьютерного блока питания в виде значения КПД (коэффициента полезного действия) имеет свои традиции. Прежде всего, КПД — это коэффициент, определяемый соотношением мощностей на выходе и на входе блока питания, то есть КПД показывает эффективность преобразования электрической энергии. Обычному же пользователю данный параметр почти ничего не скажет, за исключением того, что более высокий КПД вроде как говорит о большей экономичности БП и более высоком его качестве. Зато КПД стал отличным маркетинговым якорем, особенно в комбинацией с сертификатом 80Plus. Однако с практической точки зрения КПД не оказывает заметного влияния на функционирование системного блока: он не увеличивает производительность, не снижает шум или температуру внутри системного блока. Это просто технический параметр, уровень которого в основном определяется развитием промышленности в текущий момент времени и себестоимостью продукта. Для пользователя же максимизация КПД выливается в увеличение розничной цены.
С другой стороны, иногда нужно объективно оценить экономичность компьютерного блока питания. Под экономичностью мы подразумеваем потерю мощности при преобразовании электроэнергии и ее передаче к конечным потребителям. И для оценки этого КПД не нужен, так как можно использовать не отношение двух величин, а абсолютные значения: рассеиваемую мощность (разницу между значениями на входе и выходе блока питания), а также потребление энергии источником питания за определенное время (день, месяц, год и т. д.) при работе с постоянной нагрузкой (мощностью). Это позволяет легко увидеть реальную разницу в потреблении электроэнергии конкретными моделями БП и при необходимости рассчитать экономическую выгоду от использования более дорогих источников питания.
Таким образом, на выходе мы получаем понятный для всех параметр — рассеиваемую мощность, которая легко преобразуется в киловатт-часы (кВт·ч), которые и регистрирует счетчик электрической энергии. Умножив полученное значение на стоимость киловатт-часа, получим стоимость электрической энергии при условии эксплуатации системного блока круглосуточно в течение года. Подобный вариант, конечно, чисто гипотетический, но он позволяет оценить разницу между стоимостью эксплуатации компьютера с различными источниками питания в течение длительного периода времени и сделать выводы об экономической целесообразности приобретения конкретной модели БП. В реальных условиях высчитанное значение может достигаться за более долгий период — например, от 3 лет и более. При необходимости каждый желающий может разделить полученное значение на нужный коэффициент в зависимости от количества часов в сутках, в течение которых системный блок эксплуатируется в указанном режиме, чтобы получить расход электроэнергии за год.
Мы решили выделить несколько типовых вариантов по мощности и соотнести их с количеством разъемов, которое соответствует данным вариантам, то есть максимально приблизить методику измерения экономичности к условиям, которые достигаются в реальном системном блоке. Вместе с тем, это позволит оценивать экономичность разных блоков питания в полностью одинаковых условиях.
| Нагрузка через разъемы | 12VDC, Вт | 5VDC, Вт | 3.3VDC, Вт | Общая мощность, Вт |
|---|---|---|---|---|
| основной ATX, процессорный (12 В), SATA | 5 | 5 | 5 | 15 |
| основной ATX, процессорный (12 В), SATA | 80 | 15 | 5 | 100 |
| основной ATX, процессорный (12 В), SATA | 180 | 15 | 5 | 200 |
| основной ATX, процессорный (12 В), 6-контактный PCIe, SATA | 380 | 15 | 5 | 400 |
| основной ATX, процессорный (12 В), 6-контактные PCIe (1 шнур с 2 разъемами), SATA | 480 | 15 | 5 | 500 |
| основной ATX, процессорный (12 В), 6-контактные PCIe (2 шнура по 1 разъему), SATA | 480 | 15 | 5 | 500 |
| основной ATX, процессорный (12 В), 6-контактные PCIe (2 шнура по 2 разъема), SATA | 730 | 15 | 5 | 750 |
Полученные результаты выглядят следующим образом:
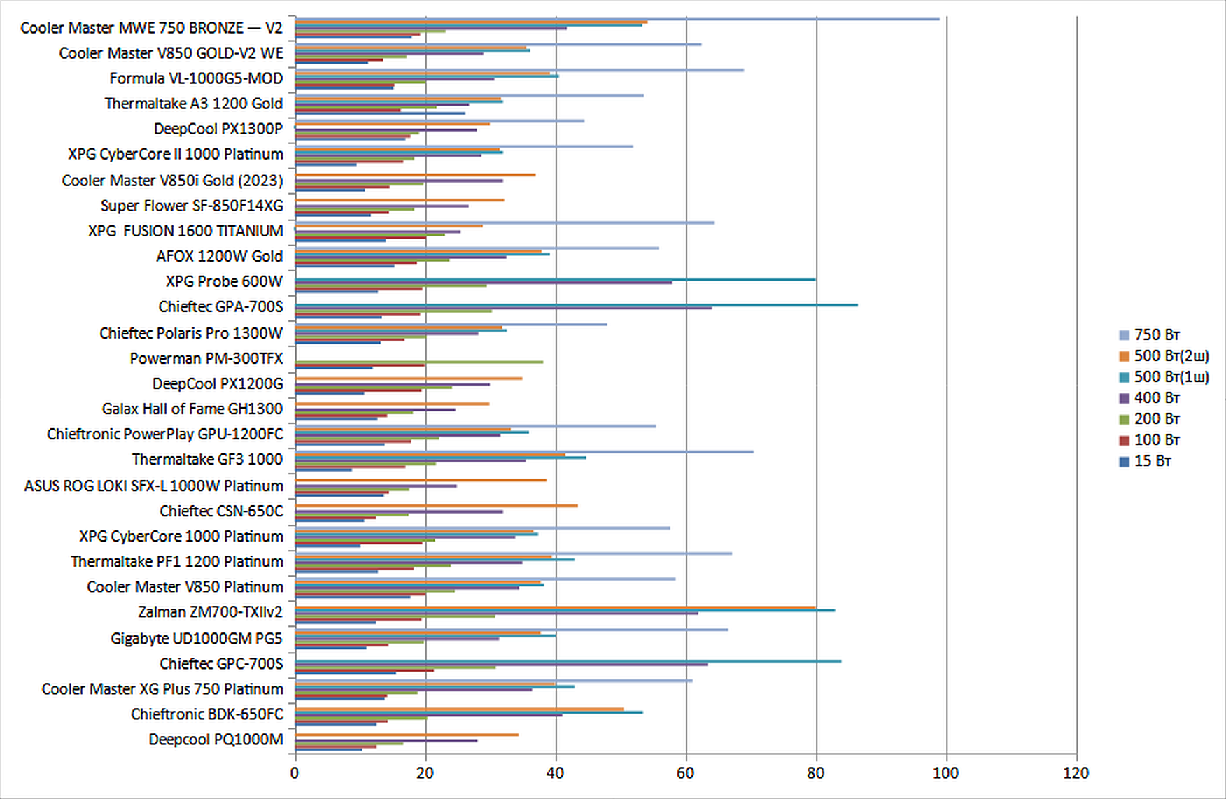
| Рассеиваемая мощность, Вт | 15 Вт | 100 Вт | 200 Вт | 400 Вт | 500 Вт (1 шнур) | 500 Вт (2 шнура) | 750 Вт |
|---|---|---|---|---|---|---|---|
| Cougar BXM 700 | 12,0 | 18,2 | 26,0 | 42,8 | 57,4 | 57,1 | |
| Cooler Master Elite 600 V4 | 11,4 | 17,8 | 30,1 | 65,7 | 93,0 | ||
| Cougar GEX 850 | 11,8 | 14,5 | 20,6 | 32,6 | 41,0 | 40,5 | 72,5 |
| Cooler Master V650 SFX | 7,8 | 13,8 | 19,6 | 33,0 | 42,4 | 41,4 | |
| Chieftec BDF-650C | 13,0 | 19,0 | 27,6 | 35,5 | 69,8 | 67,3 | |
| XPG Core Reactor 750 | 8,0 | 14,3 | 18,5 | 30,7 | 41,8 | 40,4 | 72,5 |
| Deepcool DQ650-M-V2L | 11,0 | 13,8 | 19,5 | 34,7 | 44,0 | ||
| Deepcool DA600-M | 13,6 | 19,8 | 30,0 | 61,3 | 86,0 | ||
| Fractal Design Ion Gold 850 | 14,9 | 17,5 | 21,5 | 37,2 | 47,4 | 45,2 | 80,2 |
| XPG Pylon 750 | 11,1 | 15,4 | 21,7 | 41,0 | 57,0 | 56,7 | 111,0 |
| Chieftronic PowerUp GPX-850FC | 12,8 | 15,9 | 21,4 | 33,2 | 39,4 | 38,2 | 69,3 |
| MSI MPG A750GF | 11,5 | 15,7 | 21,0 | 30,6 | 39,2 | 38,0 | 69,0 |
| Chieftronic PowerPlay GPU-850FC | 12,0 | 15,9 | 19,7 | 28,1 | 34,0 | 33,3 | 56,0 |
| Cooler Master MWE Gold 750 V2 | 12,2 | 16,0 | 21,0 | 34,6 | 42,0 | 41,6 | 76,4 |
| XPG Pylon 450 | 12,6 | 18,5 | 28,4 | 63,0 | |||
| Chieftronic PowerUp GPX-550FC | 12,2 | 15,4 | 21,6 | 35,7 | 47,1 | ||
| Chieftec BBS-500S | 13,3 | 16,3 | 22,2 | 38,6 | |||
| Cougar VTE X2 600 | 13,3 | 18,3 | 28,0 | 49,3 | 64,2 | ||
| Thermaltake GX1 500 | 12,8 | 14,1 | 19,5 | 34,8 | 47,6 | ||
| Thermaltake BM2 450 | 12,2 | 16,7 | 26,3 | 57,9 | |||
| Super Flower SF-750P14XE | 14,0 | 16,5 | 23,0 | 35,0 | 42,0 | 44,0 | 76,0 |
| XPG Core Reactor 850 | 9,8 | 14,9 | 18,1 | 29,0 | 38,4 | 37,0 | 63,0 |
| Asus TUF Gaming 750B | 11,1 | 13,8 | 20,7 | 38,6 | 50,7 | 49,3 | 93,0 |
| Chieftronic BDK-650FC | 12,6 | 14,3 | 20,4 | 41,1 | 53,5 | 50,6 | |
| Cooler Master XG Plus 750 Platinum | 13,8 | 14,2 | 18,9 | 36,5 | 43,0 | 40,0 | 61,1 |
| Chieftec GPC-700S | 15,6 | 21,4 | 30,9 | 63,5 | 84,0 | ||
| Zalman ZM700-TXIIv2 | 12,5 | 19,5 | 30,8 | 62,0 | 83,0 | 80,0 | |
| Cooler Master V850 Platinum | 17,8 | 20,1 | 24,6 | 34,5 | 38,3 | 37,8 | 58,5 |
| Chieftec CSN-650C | 10,7 | 12,5 | 17,5 | 32,0 | 43,5 | ||
| Powerman PM-300TFX | 12,0 | 20,0 | 38,2 | ||||
| Chieftec GPA-700S | 13,4 | 19,3 | 30,3 | 64,1 | 86,5 | ||
| XPG Probe 600W | 12,8 | 19,6 | 29,5 | 58,0 | 80,0 | ||
| Super Flower Leadex VII XG 850W | 11,7 | 14,5 | 18,4 | 26,7 | 32,2 | ||
| Cooler Master V850 Gold i Multi | 10,8 | 14,6 | 19,8 | 32,0 | 37,0 | ||
| Cooler Master V850 Gold V2 WE | 11,3 | 13,6 | 17,2 | 29,0 | 36,2 | 35,6 | 62,5 |
| Cooler Master MWE 750 Bronze V2 | 18,0 | 19,3 | 23,2 | 41,8 | 53,4 | 54,2 | 99,1 |
Данная модель имеет среднюю экономичность во всех протестированных режимах, это вполне типичный представитель источников питания с уровнем сертификата 80Plus Bronze.
| Вт | |
|---|---|
| Super Flower Leadex VII XG 850W | 71 |
| Cooler Master V850 Gold V2 WE | 71 |
| XPG Core Reactor 750 | 72 |
| XPG Core Reactor 850 | 72 |
| Chieftec CSN-650C | 73 |
| Cooler Master V650 SFX | 74 |
| Chieftronic PowerPlay GPU-850FC | 76 |
| Cooler Master V850 Gold i Multi | 77 |
| MSI MPG A750GF | 79 |
| Deepcool DQ650-M-V2L | 79 |
| Cougar GEX 850 | 80 |
| Thermaltake GX1 500 | 81 |
| Chieftronic PowerUp GPX-850FC | 83 |
| Cooler Master XG Plus 750 Platinum | 83 |
| Cooler Master MWE Gold 750 V2 | 84 |
| Asus TUF Gaming 750B | 84 |
| Chieftronic PowerUp GPX-550FC | 85 |
| Chieftronic BDK-650FC | 88 |
| Super Flower SF-750P14XE | 89 |
| XPG Pylon 750 | 89 |
| Chieftec BBS-500S | 90 |
| Fractal Design Ion Gold 850 | 91 |
| Chieftec BDF-650C | 95 |
| Cooler Master V850 Platinum | 97 |
| Cougar BXM 700 | 99 |
| Cooler Master MWE 750 Bronze V2 | 102 |
| Cougar VTE X2 600 | 109 |
| Thermaltake BM2 450 | 113 |
| XPG Probe 600W | 120 |
| XPG Pylon 450 | 123 |
| Deepcool DA600-M | 125 |
| Zalman ZM700-TXIIv2 | 125 |
| Cooler Master Elite 600 V4 | 125 |
| Chieftec GPA-700S | 127 |
| Chieftec GPC-700S | 131 |
По суммарной экономичности на низкой и средней мощности данная модель занимает далеко не лидирующее положение в нашем списке на момент тестирования.
| Потребление энергии компьютером за год, кВт·ч | 15 Вт | 100 Вт | 200 Вт | 400 Вт | 500 Вт (1 шнур) | 500 Вт (2 шнура) | 750 Вт |
|---|---|---|---|---|---|---|---|
| Cougar BXM 700 | 237 | 1035 | 1980 | 3879 | 4883 | 4880 | |
| Cooler Master Elite 600 V4 | 231 | 1032 | 2016 | 4080 | 5195 | ||
| Cougar GEX 850 | 235 | 1003 | 1933 | 3790 | 4739 | 4735 | 7205 |
| Cooler Master V650 SFX | 200 | 997 | 1924 | 3793 | 4751 | 4743 | |
| Chieftec BDF-650C | 245 | 1042 | 1994 | 3815 | 4991 | 4970 | |
| XPG Core Reactor 750 | 202 | 1001 | 1914 | 3773 | 4746 | 4734 | 7205 |
| Deepcool DQ650-M-V2L | 228 | 997 | 1923 | 3808 | 4765 | ||
| Deepcool DA600-M | 251 | 1049 | 2015 | 4041 | 5133 | ||
| Fractal Design Ion Gold 850 | 262 | 1029 | 1940 | 3830 | 4795 | 4776 | 7273 |
| XPG Pylon 750 | 229 | 1011 | 1942 | 3863 | 4879 | 4877 | 7542 |
| Chieftronic PowerUp GPX-850FC | 244 | 1015 | 1940 | 3795 | 4725 | 4715 | 7177 |
| MSI MPG A750GF | 232 | 1014 | 1936 | 3772 | 4723 | 4713 | 7174 |
| Chieftronic PowerPlay GPU-850FC | 237 | 1015 | 1925 | 3750 | 4678 | 4672 | 7061 |
| Cooler Master MWE Gold 750 V2 | 238 | 1016 | 1936 | 3807 | 4748 | 4744 | 7239 |
| XPG Pylon 450 | 242 | 1038 | 2001 | 4056 | |||
| Chieftronic PowerUp GPX-550FC | 238 | 1011 | 1941 | 3817 | 4793 | ||
| Chieftec BBS-500S | 248 | 1019 | 1947 | 3842 | |||
| Cougar VTE X2 600 | 248 | 1036 | 1997 | 3936 | 4942 | ||
| Thermaltake GX1 500 | 244 | 1000 | 1923 | 3809 | 4797 | ||
| Thermaltake BM2 450 | 238 | 1022 | 1982 | 4011 | |||
| Super Flower SF-750P14XE | 254 | 1021 | 1954 | 3811 | 4748 | 4765 | 7236 |
| XPG Core Reactor 850 | 217 | 1007 | 1911 | 3758 | 4716 | 4704 | 7122 |
| Asus TUF Gaming 750B | 229 | 997 | 1933 | 3842 | 4824 | 4812 | 7385 |
| Chieftronic BDK-650FC | 242 | 1001 | 1931 | 3864 | 4849 | 4823 | |
| Cooler Master XG Plus 750 Platinum | 252 | 1000 | 1918 | 3824 | 4757 | 4730 | 7105 |
| Chieftec GPC-700S | 268 | 1064 | 2023 | 4060 | 5116 | ||
| Zalman ZM700-TXIIv2 | 241 | 1047 | 2022 | 4047 | 5107 | 5081 | |
| Cooler Master V850 Platinum | 287 | 1052 | 1968 | 3806 | 4716 | 4711 | 7083 |
| Chieftec CSN-650C | 225 | 986 | 1905 | 3784 | 4761 | ||
| Powerman PM-300TFX | 237 | 1051 | 2087 | ||||
| Chieftec GPA-700S | 249 | 1045 | 2017 | 4066 | 5138 | ||
| XPG Probe 600W | 244 | 1048 | 2010 | 4012 | 5081 | ||
| Super Flower Leadex VII XG 850W | 234 | 1003 | 1913 | 3738 | 4662 | ||
| Cooler Master V850 Gold i Multi | 226 | 1004 | 1925 | 3784 | 4704 | ||
| Cooler Master V850 Gold V2 WE | 230 | 995 | 1903 | 3758 | 4697 | 4692 | 7118 |
| Cooler Master MWE 750 Bronze V2 | 289 | 1045 | 1955 | 3870 | 4848 | 4855 | 7438 |
Температурный режим
Термонагруженность конденсаторов при работе на мощности вплоть до максимальной находится на невысоком уровне.

Акустическая эргономика
При подготовке данного материала мы использовали следующую методику измерения уровня шума блоков питания. Блок питания располагается на ровной поверхности вентилятором вверх, над ним на расстоянии 0,35 метра размещается измерительный микрофон шумомера Октава 110А-Эко, которым и производится измерение уровня шума. Нагрузка блока питания осуществляется при помощи специального стенда, имеющего бесшумный режим работы. В ходе измерения уровня шума осуществляется эксплуатация блока питания на постоянной мощности в течение 20 минут, после чего производится замер уровня шума.

При работе с постоянно вращающимся вентилятором в диапазоне мощности до 400 Вт включительно шум блока питания находится на среднем уровне для жилого помещения в дневное время суток, но даже на самой малой мощности он не снижается заметно, остается на том же уровне, поэтому для фанатов полной тишины данная модель не подойдет.
При работе в диапазоне мощности от 500 до 750 Вт уровень шума превышает 40 дБА, поэтому шум можно оценить как высокий для жилого помещения в дневное время суток.
Таким образом, с точки зрения акустической эргономики данная модель обеспечивает комфорт при выходной мощности в пределах 400 Вт.
В перспективе можно задуматься над установкой менее оборотистого вентилятора — но при условии нагрузки в пределах 400 Вт и четком понимании выполняемых действий.
К шуму электроники особых претензий нет. Писков и свиста замечено не было.
Потребительские качества
Потребительские качества блока питания Cooler Master MWE 750 Bronze V2 находятся на хорошем уровне. Нагрузочная способность канала +12VDC высокая, что позволяет использовать данный БП в мощных системах с несколькими видеокартами. Акустическая эргономика на высокой мощности плохая, но при нагрузках вплоть до 400 Вт шум сравнительно невысокий. На мощности 500 Вт шум становится заметным и неприятным, но в реальных условиях компоненты, имеющие подобное потребление, сами по себе будут производить значительный шум. Длина проводов у БП достаточная для большинства современных корпусов, к тому же провода использованы ленточные.
Итоги
Блок питания Cooler Master MWE 750 Bronze V2 продемонстрировал среднюю экономичность, в нем использованы вентилятор на гидродинамическом подшипнике с высоким ресурсом работы, а также неплохие конденсаторы Capxon. Можно констатировать, что блок питания пережил все наши тесты и не утратил работоспособность, что стоит оценить положительно. В целом данная модель не претендует на лидирующие позиции, но представляет собой вполне качественный продукт среднего уровня.
С другой стороны, в данной серии есть модели мощностью от 450 Вт, которые для большинства пользователей будут куда более востребованы, так как две видеокарты сейчас никто не ставит (да и никогда не ставил, если честно), а для одной видеокарты среднего уровня вместе даже с процессором этих 450-500 Вт хватит за глаза.









