Жесткий диск форм-фактора 2,5 дюйма, который мог бы «порвать» всех …
Хотя эта статья и вышла 1 апреля, это не розыгрыш. Речь пойдет о продукте вполне реальном (то есть «данном нам в ощущениях» и тестах), который, однако, так и не дошел до прилавков, оставшись в лабораториях и пилотных партиях. Но если бы он своевременно вышел на рынок, как знать, как сложилась бы конкурентная борьба…
Эту статью мы посвящаем всем тем, для кого марка Maxtor — не пустой звук. Пусть это и прозвучит пафосно, но автор этих строк до сих пор скорбит (и в своей скорби, увы, не одинок) о безвременно поглощенной «Морскими вратами» компании Maxtor, производившей в свое время много выдающихся продуктов. Можно вспомнить и великолепные SCSI-диски серий Atlas, которые «привозили» лихой фунт всем своим конкурентам (см., например, наши обзоры), или то, что Maxtor фактически первой освоила интерфейс SATA, снабдив отменно работающими семплами большинство производителей SATA-контроллеров. А эффективность работы NCQ в дисках Maxtor (даже первого поколения!) по сути до сих пор остается непревзойденной. Мы неоднократно в наших обзорах отмечали и уникальные алгоритмы кэширования, благодаря которым использование емкого буфера 16 Мбайт в ATA-накопителях этой компании позволяло достичь феноменальных результатов в профильных тестах, наголову разбивая конкурентов. Maxtor фактически первой стала использовать ATA-диски для Enterprise-применений, выпустив специальные, особо надежные модели. Список можно было бы продолжать долго (а недоброжелатели здесь наверняка припомнят проблемы с часто выгоравшим драйвером Smooth L7250 в серии DiamondMax Plus 9), но технологии технологиями, а у акул капитализма свои «волчьи» морские законы: при первом же удобном случае Seagate «откушала» своего давнего и непримиримого конкурента, сделав это скорее даже не столько ради получения прибыли и технологических секретов (ведь большинство прогрессивных продуктов Maxtor после слияния компаний были тихой сапой списаны в утиль), сколько по «идеологическим» соображениям (к слову, мне неоднократно доводилось быть свидетелем особо пристрастного отношения американских сотрудников «Морских врат» к имени и продуктам своего главного соперника на рынке США).
Что ж — что сделано, то сделано. И уже почти быльем поросло. Однако историки пишут свои летописи, и в данном влучае позвольте мне выступить именно в этом качестве — благо повод подходящий. Дело в том, что пять лет назад, в 2004 году (да, пожалуй, можно справлять мини-юбилей) многие производители жестких дисков, прежде выпускавшие лишь 3,5-дюймовые накопители, дружно обратили свой взор на 2,5-дюймовые винчестеры для ноутбуков (отвлекаясь заметим — и не прогадали!). Среди «новичков» (имевших, однако, большой опыт в области десктопных дисков) значились: Samsung, Seagate, Western Digital и … Maxtor! Да-да, еще вполне самостоятельная в то время, хотя и потрепанная демпинговыми войнами Maxtor в числе остальных имела весьма воинственные планы выхода на рынок дисков для ноутбуков. И была даже полностью подготовлена для серийного производства серия накопителей Janus (MobileMax I), которую мы очень ждали в конце 2004 или начале 2005 года. Фото именно такого диска (эксклюзивно попавшего в мои руки из одной американской лаборатории, пожелавшей остаться неназванной) вы видите на рисунке.


Характеристики продуктов серии Janus от Maxtor впечетляли на фоне конкурентов того времени: емкость пластины 60 Гбайт (в то время 2,5-дюймовые диски выпускались лишь на 40- и 50-гигабайтных пластинах), лучшая в классе ударостойкойть 1000G при хранении и 350G в работе, скорость вращения пластины 5400 об/мин (первоначально Janus были только однопластинными), однако экономичность на уровне дисков на 4200 об/мин, лучший в классе температурный диапазон работы — от 0 до +60 С. Чтобы не быть голословным, приведу слайд из презентации Maxtor (за октябрь 2004 г.), посвященной этому продукту.

Среди различных технологических новаций (разумеется, Maxtor не могла обойтись без них, см. следующий слайд),

мы особо отметим встроенный в сам диск (уже в то время!) сенсор свободного падения (акселерометр), который позволял защитить накопитель гораздо эффективнее, чем акселерометр, встроенный в материнские платы некоторых ноутбуков того времени (см. следующий слайд).

На тот момент диски Janus успешно прошли все испытания (см. резюме на слайде)

и были готовы «порвать» рынок в начале 2005 года…

Причем вскоре после выхода Janus-1 с интерфейсом IDE должны были появиться и SATA-аналоги, а на первую половину 2006 г. был запланирован выпуск Janus-2 на пластинах 80 Гбайт и даже интерфейс SATA 3 Гбит/с…

Однако внутри компании неожиданно было принято решение отложить коммерческий запуск этих дисков — сначала вроде бы на год, а затем и вовсе, поскольку после слияния компаний выпуск конкурирующих с дисками Seagate Momentus моделей был уже нецелесообразен.
Впрочем, звучное имя MobileMax, в отличие от «железок» Janus, забвению предано не было: осенью 2006 года (то есть аж два года спустя после появления Janus) в Seagate решили не манкировать известнейшим именем Maxtor и выпустили на рынок 2,5-дюймовые винчестеры Maxtor MobileMax. Основанные на банках Seagate Momentus того времени с пластинами емкостью 80 Гбайт, «реинкарнированные» однопластинные MobileMax во многом повторяли характеристики Janus — 5400 об/мин, емкость 40, 60 и 80 Гбайт (модели STM940215A, STM960212A и STM980215A соответственно), интерфейс IDE, буфер 2 Мбайт, — однако уступали им и по ударостойкости (900 и 250G соответственно), и по диапазону рабочих температур (5-55 С), и по шумности (до 29 дБА при поиске). Среднее время поиска у них составляло 12,5 мс, а скорость чтения данных с пластины доходила до 42 Мбайт/с. Позиционируя линейку MobileMax для низшего сегмента рынка ноутбуков (чтобы они не конкурировали с Momentus) и недорогих USB-накопителей, производитель намеренно не повышал емкость, объем буфера и использовал только интерфейс EIDE, а также установил на эти диски гарантию 3 года вместо традиционных 5 лет.

А совсем недавно (в феврале 2009) на рынке появлилсь даже диски Maxtor MobileMax II STM9120817AS емкостью 120 Гбайт с интерфейсом SATA (буфер 8 Мбайт; на момент написания этой статьи данная модель еще отсутствовала на сайте Seagate). Впрочем, даже на момент выхода все эти диски Seagate технически устарели и представляли интерес разве что для низшего сегмента рынка, но никак не для сравнения с новейшими решениями конкурентов. Поэтому и мы здесь на них внимания заострять не будем, но окунемся в историю — ведь выйди Janus (называнный тогда MobileMax I) вовремя, то есть в начале 2005 года, еще неизвестно, как повернулась бы стрелка судеб.
Располагая редчайшим лабораторным экземпляром Maxtor MobileMax I Janus емкостью 60 Гбайт (модель Maxtor 2E060K0 JAH15850), произведенным Maxtor в октябре 2004 г., мы сравним его с конкурентами той поры и попробуем обучить историю сослагательному наклонению. Ведь сегодня 1 апреля, как никак.

Внешний вид и конструкция Janus
Собственно, фотографии накопителя говорят сами за себя.

Данный диск имеет интерфейса EIDE и буфер 2 Мбайт.

Печатную плату можно рассмотреть подробнее, кликнув по следующей картинке.

Элементов на плате достаточно много, но не будем забывать, что это было 5 лет назад и это первый, пилотный накопитель Maxtor данного формата. К тому же, как мы писали выше, электроника диска оснащена дополнительными функциями, среди которых есть антишоковый сенсор, акселерометр и обслуживающие их компоненты.

Гермоблок накопителя также имеет свои особенности.

В частности, это «утопленный» блок электроконтактов (на фото — слева), а также дополнительный достаточно крупный электромагнитный фиксатор парковочной защелки (слева на следующем фото).

Данный накопитель поддерживает регистр управления акустикой поиска. Мы тестировали его в обоих режимах: быстром и при тихом медленном поиске.

Участники наших испытаний
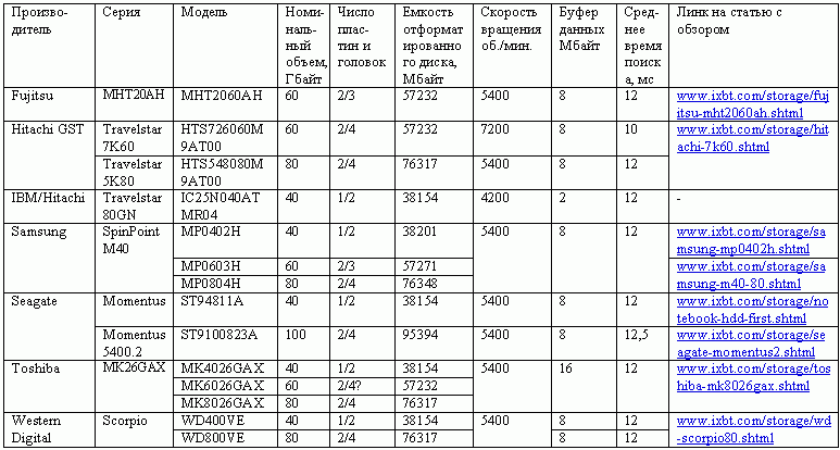
Но перейдем к сравнению в тестах. Вот их участники:
- Fujitsu MHT2060AH, 60 Гбайт, 3 головки, 8 Мбайт
- Hitachi 5K80 HTS548080M9AT00, 80 Гбайт, 4 головки, 8 Мбайт
- Hitachi 7K60 HTS726060M9AT00, 60 Гбайт, 4 головки, 8 Мбайт, 7200 rpm
- Maxtor MobileMax I (Janus) 2E060K0, 60 Гбайт, 2 головки, 2 Мбайт
- Samsung M40 MP0603H, 60 Гбайт, 3 головки, 8 Мбайт
- Seagate Momentus 54.2 ST9100823A, 100 Гбайт, 4 головки, 8 Мбайт
- Toshiba MK8026GAX, 80 Гбайт, 4 головки, 16 Мбайт
- WD Scorpio WD800VE, 80 Гбайт, 4 головки, 8 Мбайт
Все сравниваемые здесь накопители образца 2004 года (характеристики см. в таблице) имеют объем от 60 до 100 Гбайт, PATA-интерфейс, скорость вращения пластин 5400 об/мин (кроме Hitachi 7K60) и буфер объемом 8 Мбайт (кроме Toshiba MK8026GAX), то есть диск Maxtor Janus 2E060K0 в лучшую сторону отличается от них большей емкостью одной пластины, а в худшую — меньшим объемом буфера (типичным скорее для 4200-об/мин-дисков той поры).

Для испытаний мы воспользовались той же тестовой системой и методикой, какие мы использовали в обзорах той поры. Таким образом, сравнение результатов тестов для всех участников этой статьи полностью корректно. Для тестов применялся стенд в составе:
- Процессор Intel Pentium 4 3.0C
- Материнская плата ABIT IC7-G на чипсете i875P с южным мостом ICH5R
- Системная память 2x256 Мбайт DDR400
- Видеокарта Matrox Millennium G400
- Основной жесткий диск Seagate Barracuda SATA V
- Блок питания Zalman ZM400A-APF, 400 Вт
Мобильные винчестеры жестко закреплялись на металлическом шасси корпуса тестового системного блока и подключались к порту UltraATA/100 моста ICH5 на материнской плате; специальное охлаждение дисков во время тестов не использовалось.
Результаты базовых тестов
График скорости линейного чтения диска Maxtor представлен на рисунке (аналогичные графики для остальных участников можно найти здесь). Максимальная скорость линейного чтения у Janus доходит до 40 млн байт/с (по WinBench 99), однако из-за ошибки (или сознательного изменения) в таблице трансляции адресов данного семпла наиболее быстрая область приходится на последнюю четверть объема накопителя. При проведении критичных к данному фактору тестов (на файловых системах) мы устранили влияние этого обстоятельства путем соответствующего разбиения диска на логические разделы.
Сравнивая скорость линейного чтения дисков, можно заключить, что более высокая плотность записи у Janus позволяет ему иметь и наиболее высокую скорость линейного чтения (и записи) среди дисков 2004 года, опережая даже семитысячник Hitachi.
По скорости работы интерфейса UltraATA/100 у Maxtor все в норме: рекордов не ставим, но и не плетемся в хвосте. Радуют очень ровные результаты, полученные в разных тестах (в отличие от некоторых конкурентов).
А вот по среднему времени случайного доступа при чтении Janus разочаровал: у него самый низкий показатель среди пятитысячников. Видимо, либо диск был еще сыроват, либо поиск сознательно не стали форсировать, чтобы сделать его не слишком шумным. В режиме медленного (тихого) поиска среднее время случайного доступа возрастает примерно на 2,5 мс.
Проверить эффективность работы кэширования при записи можно, в частности, при помощи теста на скорость случайного доступа при записи под Windows.
Здесь диск Maxtor демострирует показатели на уровне большинства остальных участников, даже опережая некоторых конкурентов, однако нам следует помнить, что у них-то кэш в 4-8 раз больше, чем у Maxtor! То есть алгоритмы отложенной записи у Janus весьма эффективны даже с таким маленьким буфером.
Тесты в приложениях
В тестах многопотоковых записи и чтения 100-мегабайтных файлов наш герой чувствует себя достаточно уверенно, даже несмотря на мелкий буфер. И если на многопотоковой записи недостаточный объем буфера все же дает о себе знать на фоне показателей остальных дисков, то при многопотоковом чтении Janus демонстрирует просто шикарные алгоритмы упреждающего чтения: невзирая на мелкий буфер и самое медленное время поиска (а здесь оно должно было заметно повлиять), MobileMax I становится безусловным лидером, легко затыкая за пояс всех, включая семитысячник Hitachi и традиционно шустрый на этой задаче диск Fujitsu. Браво!
В целом же здесь Maxtor уверенно составляет конкуренцию «одноклассникам», невзирая на просчеты с буфером и временем поиска у семпла.
Производительность винчестеров при типичной работе персонального пользователя мы оцениваем как по тестам WinBench 99 Disk WinMark в Business и High-End паттернах (см. диаграммы по линкам), так и по двум другим популярным комплексным трековым тестам — Futuremark PCmark04 и C'T H2benchW. В тестах WinBench 99 диск Janus, к сожалению, неспособен блеснуть резвостью — всему виной слишком маленький по сравнению с конкурентами объем буфера.
Примерно то же положение Janus демонстрирует и в тестах PCMark и H2BenchW — здесь он стабильный аутсайдер, против природы, увы, не попрешь.
Несколько иное дело — тест скорости работы с временным файлом Adobe Photoshop.
Здесь уже Maxtor способен составить конкуренцию своим более «буферастым» соперникам, хотя до лидеров ему, конечно, не достать. Причем, как видим, не очень быстрый поиск у Janus в данном случае не является узким местом: мелкий буфер компенсируется за счет эффективного упреждающего чтения.
Тесты в IOmeter
Далее посмотрим, как наш герой ведет себя в различных паттернах в программе IOmeter, хотя это все же относится к непрофильной для Janus профессиональной нагрузке. Впрочем, использование, например, баз данных на ноутбуках уже не является чем-то экзотическим, поэтому данные паттерны имеют и практический резон. Сначала — усредненные результаты по традиционным серверным паттернам File Server, Web Server и Database.
Как видим, большое время поиска вынуждает накопитель отставать от многих конкурентов, хотя и не фатально.
В более «персональных» задачах типа чтения, записи и копирования крупных и мелких файлов, производительность в которых мы оцениваем по собственным паттернам для IOmeter со случайным характером обращений в пределах всего накопителя (на диаграмме приведены усредненные по всем паттернам результаты),
мы можем наблюдать большее положительное влияние оптимизированного firmware от Maxtor. Более подробные результаты по каждому из этих тестов можно посмотреть по следующим линкам:
- чтение и запись крупных файлов
- чтение и запись мелких файлов
- копирование крупных и мелких файлов
Не менее любопытные результаты наблюдаются и при выполнении паттернов потоковых чтения-записи (одновременно) крупными или мелкими блоками (имитирующим, например, работу цифрового магнитофона с функцией timeshifting или нагрузку на диск при редактировании видео). На крупных блоках отлично смотрятся оба Hitachi и диск Fujitsu. Maxtor — третий с конца, но и это довольно неплохо, учитывая всё сказанное выше.
Энергопотребление и тепловыделение
Энергопотребление и тепловыделение мобильных жестких дисков — не менее важная порой их характеристика, чем производительность. Следуя нашей традиционной методике, мы измерили непосредственно типичные токи потребления дисков в различных режимах работы, см. таблицу.
Таблица. Ток потребления (в мА) жестких дисков от источника питания +5В, измеренный в различных режимах работы.
Модель диска / Режим работы диска | Idle | Pre Idle | ATA transfer | Write | Read | Seek | Quiet Seek | Start | Label |
|---|---|---|---|---|---|---|---|---|---|
Maxtor MobileMax I 2E060K0 | 150 | 180 | 320 | 510 | 570 | 440 | 420 | 760 | н/д |
Fujitsu MHT2060AH | 140 | 260 | 250 | 520 | 590 | 590 | н/д | 790 | 600 |
Hitachi HTS548080M9AT00 | 140 | 190 | 370 | 620 | 750 | 630 | н/д | 700 | 1000 |
Hitachi TS 7K60 HTS726060M9AT00 | 150 | 200 | 370 | 650 | 850 | 650 | н/д | 830 | 1100 |
Samsung SpinPoint M40 MP0603H | 150 | 300 | 330 | 490 | 500 | 480 | 430 | 780 | 700 |
Seagate Momentus M54.2 ST9100823A | 170 | 210 | 360 | 600 | 660 | 530 | н/д | 730 | 460 |
Toshiba MK8026GAX | 170 | 200 | 420 | 580 | 800 | 640 | н/д | 830 | 1000 |
WD Scorpio ML40 WD800VE | 150 | 190 | 290 | 440 | 500 | 470 | 390 | 850 | 500 |
Вычисляя по нашей традиционной методике характерное потребление дисков в двух режимах работы, неспешном и активном, получаем следующие данные.
Maxtor Janus в типичной работе потребляет примерно столько же, сколько другие экономные пятитысячники этого поколения (чуть менее ватта), однако при активной работе он заметно экономнее многих — чуть более прохладны лишь диски Samsung и WD. Так что энергопотребление Janus в целом находится на очень благоприятном уровне, а невысокий стартовый ток был бы полезен при его использовании в USB-накопителях.
Выводы
В общем, приход в 2005 году на рынок еще одного производителя жестких дисков для ноутбуков в лице Maxtor мог бы заметно изменить картину нарастающей конкуренции в этом сегменте. Седьмой игрок, предлагающий весьма недурные по многим потребительским свойствам накопители (особенно, если бы Maxtor не поскупилась на буфер 8 Мбайт) по традиционно низким для изделий Maxtor ценам, вполне возможно, не дал бы столь активно развернуться ни Seagate, ни Samsung, ни даже WD. И не исключено, что кто-то из них или даже из старичков отдал бы свои позиции и вышел из бизнеса, став в итоге самым слабым звеном. Однако история все же не знает сослагательных наклонений, и в данном случае покинул бизнес, так и не начав его, именно Maxtor. Причем, покинул навсегда. Видимо, именно эта компания по совокупности самых разных факторов на тот момент оказалсь самым слабым звеном. И нам остается лишь размышлять на эту тему и вписать в историю так и несостоявшийся в результате жесткий диск Maxtor MobileMax I со звучным именем Janus.