По мере своего развития цивилизация начинает потреблять все больше энергии, в частности, электрической станки, заводы, электронасосы, фонари на улицах, лампы в квартирах… Появление радио, телевизоров, телефонов, компьютеров дало человечеству возможность ускорить обмен информацией, однако, еще сильнее привязало его к источникам электроэнергии, поскольку теперь, во многих случаях, пропадание электричества равносильно потере канала доставки информационного потока. Наиболее критична такая ситуация для ряда наиболее современных отраслей, в частности, там, где основным инструментом производства являются компьютерные сети.
Давно подсчитано, что через пару-тройку месяцев работы стоимость информации, хранящейся на компьютере, превышает стоимость самого ПК. Уже давно информация стала разновидностью товара ее создают, оценивают, продают, покупают, накапливают, преобразуют… и порой теряют по самым разнообразным причинам. Разумеется, до половины проблем, связанных с потерей информации, возникает из-за программных или аппаратных сбоев компьютерами. Во всех остальных случаях, как правило, проблемы связаны с некачественным электроснабжением компьютера.
Обеспечение качественного питания компонентов ПК залог стабильной работы любой компьютерной системы. От формы и качественных характеристик сетевого питания, от удачного выбора компонентов питания порой зависит судьба целых месяцев работы. Исходя из этих соображений, была разработана изложенная ниже методика исследования, призванная в дальнейшем стать основой тестирования качественных характеристик бесперебойных блоков питания.
Оглавление
- Положения ГОСТ
- Классификация ИБП (описание, схема)
- Оффлайновые
- Линейно-интерактивные
- Онлайновые
- Основные типы по мощностям
- Физика
- a. Виды мощности, формулы расчета:
- Мгновенная
- Активная
- Реактивная
- Полная
- a. Виды мощности, формулы расчета:
- Тестирование:
- Цель тестирования
- Общий план проведения
- Параметры для проверки
- Оборудование, использованное при тестировании
- Библиография
Положения ГОСТ
Все, что связано с электрическими сетями, в России регламентируется положениями ГОСТ 13109-97 (принят Межгосударственным Советом по стандартизации, метрологии и сертификации взамен ГОСТ 13109-87). Нормативы этого документа полностью соответствуют международным стандартам МЭК 861, МЭК 1000-3-2, МЭК 1000-3-3, МЭК 1000-4-1 и публикациям МЭК 1000-2-1, МЭК 1000-2-2 в части уровней электромагнитной совместимости в системах электроснабжения и методов измерения электромагнитных помех.
Стандартными показателями для электросетей в России, установленными ГОСТ, являются следующие характеристики:
- напряжение питания 220 В±10%
- частота 50±1 Гц
- коэффициент нелинейных искажений формы напряжения менее 8% в течение длительного времени и 12% кратковременно
Оговорены в документе и типичные проблемы электроснабжения. Чаще всего нам приходится сталкиваться со следующими из них:
- Полное пропадание напряжения в сети (отсутствие напряжения в сети на время более 40 секунд из-за нарушений в линиях подачи электроэнергии)
- Проседания (кратковременное снижение напряжения в сети до величины менее 80% от номинального значения на время более 1 периода (1/50 секунды) являются следствием включения мощных нагрузок, внешне проявляется как мерцание ламп освещения) и всплески (кратковременные повышения напряжения в сети на величину более 110 % от номинального на время более 1 периода (1/50 секунды); появляются при отключении большой нагрузки, внешне проявляются как мерцание ламп освещения) напряжения разной продолжительности (характерно для больших городов)
- Высокочастотный шум радиочастотные помехи электромагнитного или другого происхождения, результат работы мощных высокочастотных устройств, коммуникационных устройств
- Отклонение частоты за пределы допустимых значений
- Высоковольтные выбросы кратковременные импульсы напряжения величиной до 6000В и длительностью до 10 мс; появляются при грозах, как результат статического электричества, из-за искрения переключателей, внешних проявлений не имеют
- Выбег частоты изменение частоты на 3 и более Гц от номинального (50 Гц), появляются при нестабильной работе источника электроэнергии, внешне могут и не проявляться.
Все эти факторы могут привести к выходу из строя достаточно «тонкой» электроники, и, как это часто бывает, к потере данных. Впрочем, люди давно научились защищаться: фильтры сетевого напряжения, «гасящие» скачки, дизель-генераторы, обеспечивающие подачу электроэнергии системам при пропадании напряжения в «глобальном масштабе», наконец, источники бесперебойного питания основной инструмент защиты персональных ПК, серверов, мини-АТС и др. Как раз о последней категории устройств и пойдет речь.
Классификация ИБП
«Разделять» ИБП можно по разным признакам, в частности, по мощности (или сфере применения) и по типу действия (архитектуре/устройству). Оба этих метода тесно связаны друг с другом. По мощности ИБП делятся на
- Источники бесперебойного питания малой мощности (с полной мощностью 300, 450, 700, 1000, 1500 ВА, до 3000 ВА включая и on-line)
- Малой и средней мощности (c полной мощностью 3–5 кВА)
- Средней мощности (с полной мощностью 5–10 кВА)
- Большой мощности (с полной мощностью 10–1000 кВА)
Исходя из принципа действия устройств, в литературе в настоящее время используется два типа классификации источников бесперебойного питания. Согласно первому типу, ИБП делятся на две категории: on-line и off-line, которые, в свою очередь, делятся на резервные и линейно-интерактивные.
Согласно второму типу, ИБП делятся на три категории: резервные (off-line или standby), линейно-интерактивные (line-interactive) и ИБП с двойным преобразованием напряжения (on-line).
Мы будем пользоваться вторым типом классификации.
Рассмотрим для начала разницу типов ИБП. Источники резервного типа выполнены по схеме с коммутирующим устройством, которое в нормальном режиме работы обеспечивает подключение нагрузки непосредственно к внешней питающей сети, а в аварийном переводит ее на питание от аккумуляторных батарей. Достоинством ИБП такого типа можно считать его простоту, недостатком ненулевое время переключения на питание от аккумуляторов (около 4 мс).


Линейно-интерактивные ИБП выполнены по схеме с коммутирующим устройством, дополненной стабилизатором входного напряжения на основе автотрансформатора с переключаемыми обмотками. Основное преимущество таких устройств защита нагрузки от повышенного или пониженного напряжения без перехода в аварийный режим. Недостатком таких устройств также является ненулевое (около 4 мс) время переключения на аккумуляторы.


ИБП с двойным преобразованием напряжения отличается тем, что в нем поступающее на вход переменное напряжение сначала преобразуется выпрямителем в постоянное, а затем с помощью инвертора снова в переменное. Аккумуляторная батарея постоянно подключена к выходу выпрямителя и входу инвертора и питает его в аварийном режиме. Таким образом, достигается достаточно высокая стабильность выходного напряжения независимо от колебаний напряжения на входе. Кроме того, эффективно подавляются помехи и возмущения, которыми изобилует питающая сеть.
Практически, ИБП данного класса при подключении к сети переменного тока ведут себя как линейная нагрузка. Плюсом данной конструкции можно считать нулевое время переключения на питание от аккумуляторов, минусом снижение КПД за счет потерь при двукратном преобразовании напряжения.


Физика
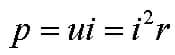
Во всех справочниках по электротехнике различаются четыре вида мощности: мгновенная, активная, реактивная и полная. Мгновенная мощность вычисляется как произведение мгновенного значения напряжения и мгновенного значения тока для произвольно выбранного момента времени, то есть
Так как в цепи с сопротивлением r u=ir, то

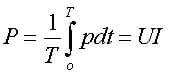
Средняя за период мощность P рассматриваемой цепи равна постоянной слагающей мгновенной мощности

Среднюю за период мощность переменного тока называют активной. Единица активной мощности вольт-ампер называется ватт (Вт).
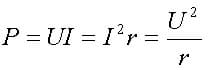
Соответственно и сопротивление r называют активным. Так как U=Ir, то

Обычно именно активную мощность понимают под потребляемой мощностью устройства.
Реактивная мощность величина, характеризующая нагрузки, создаваемые в электротехнических устройствах колебаниями энергии электромагнитного поля. Для синусоидального тока равна произведению действующих тока и напряжения на синус угла сдвига фазы между ними.
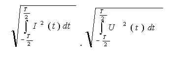
Полная мощность потребляемая нагрузкой суммарная мощность (учитываются как активная, так и реактивная ее составляющие). Вычисляется как произведение среднеквадратичных значений входного тока и напряжения. Единица измерения ВА (вольт-ампер). Для синусоидального тока равна

или

Практически на любом электрическом приборе находится этикетка с указанием либо полной мощности устройства, либо активной мощности.
Тестирование
Основная цель тестирования продемонстрировать поведение тестируемых ИБП в реальных условиях, дать представление о дополнительных характеристиках, которые не находят отражения в общей документации на устройства, на практике определить влияние различных факторов на работу ИБП и, возможно, помочь определиться с выбором того или иного источника бесперебойного питания.
Несмотря на то, что рекомендаций по выбору ИБП в настоящее время существует великое множество, в ходе тестирования мы рассчитываем, во-первых, рассмотреть ряд дополнительных параметров, которыми стоит поинтересоваться перед покупкой оборудования, во-вторых, по необходимости скорректировать набор выбранных методов и параметров тестирования и выработать базу для будущего анализа всего тракта питания систем.
Общий план проведения тестирования выглядит следующим образом:
- Указание класса устройства
- Указание заявленных производителем характеристик
- Описание комплектности поставки (наличие руководства, дополнительных шнуров, ПО)
- Краткое описание внешнего вида ИБП (функции, вынесенные на контрольную панель и перечень разъемов)
- Тип аккумуляторов (с указанием емкости аккумуляторов, обслуживаемые/необслуживаемые, наименование, возможно взаимозаменяемость, возможность подключения дополнительных аккумуляторных блоков)
- «Энергетическая» составляющая тестов
В процессе тестирования планируется проверить следующие параметры:
- Диапазон входного напряжения, при котором ИБП работает от сети, не переключаясь на аккумуляторы. Больший диапазон входного напряжения уменьшает количество переходов ИБП на батарею и увеличивает срок ее службы
- Время переключения на питание от аккумулятора. Чем меньше время переключения, тем меньше риск выхода из строя нагрузки (устройства, подключенного через ИБП). Длительность и характер процесса переключения во многом определяют возможность нормального продолжения работы оборудования. Для компьютерной нагрузки допустимое время прерывания питания 20-40 мс.
- Осциллограмма переключения на аккумулятор
- Время переключения с аккумулятора на внешнее питание
- Осциллограмма переключения с аккумулятора на внешнее питание
- Время работы в автономном режиме. Этот параметр определяется исключительно емкостью батарей, установленных в ИБП, которая, в свою очередь, увеличивается при росте максимальной выходной мощности ИБП. Для обеспечения автономным питанием двух современных компьютеров SOHO типичной конфигурации в течение 15-20 мин, максимальная выходная мощность ИБП должна быть порядка 600-700 ВА.
- Параметры выходного напряжения при работе от батарей
- Форма импульса в начале разряда аккумулятора
- Форма импульса в конце разряда аккумулятора
- Диапазон выходного напряжения ИБП при изменении входного напряжения. Чем этот диапазон уже, тем меньше влияние изменения входного напряжения на питаемую нагрузку
- Стабилизация выходного напряжения
- Фильтрация выходного напряжения (если она есть)
- Поведение ИБП при перегрузке на выходе
- Поведение ИБП при пропадании нагрузки
- Вычисление КПД ИБП. Определяется как отношение выходной мощности устройства к потребляемой мощности от источника питания
- Коэффициент нелинейных искажений, характеризующий степень отличия формы напряжения или тока от синусоидальной
- 0% синусоида
- 3% искажения не заметны на глаз
- 5% искажения заметны глазом
- до 21% трапецеидальная или ступенчатая форма сигнала
- 43% сигнал имеет прямоугольную форму
Оборудование
При тестировании мы будем пользоваться не реальными рабочими станциями и серверами, а эквивалентными нагрузками, которые имеют стабильный характер потребления и коэффициент использования мощности, близкий к 1. В качестве основного оборудования, которое будет использоваться при проведении тестирований, в настоящее время рассматривается следующий комплект:
- Цифровой мультиметр Sinometer VC980

- Полная защита от перегрузки
- True RMS
- Напряжение постоянного тока: 200mV/2V/20V/200V/1000V (± 0.05%)
- Напряжение переменного тока: 200mV/2V/20/200V/700V (± 0.8%)
- Постоянный ток: 20mA/200mA/20A (± 0.5%)
- Переменный ток: 200mA/20A (± 1.5%)
- Сопротивление: 200Ω / 2kΩ / 20kΩ / 200kΩ / 2MΩ/20MΩ (± 0.2%)
- Емкость : 2nF/20nF/200nF/2µF/20µF (± 2.5%)
- Частота: 20kHz/200kHz (± 1.5%)
- Напряжение питания: 6F22 (9V) x 1
- Цифровой мультиметр Protek 506

- Индуктивность: 0 100 Н (3%)
- Напряжение постоянного тока: 400мВ 1000 В (0,5 %)
- Автомат с аналоговой шкалой
- Постоянный ток: 400 мкА 20 А(1%)
- Емкость: до 100 µF (3%)
- Сопротивление: 400 Ω 40МΩ (0,5%)
- Память: 10 результатов
- Логический пробник: 0,8 В 2 В
- Интерфейс: RS-232
- Измерение децибел: 25 dBm-+59dBm (± 0,5 dBm)
- Напряжение переменного тока: 400 мВ 750 В(1,5%)
- Генератор: 2 Кгц, 4 Кгц, 8 Кгц
- Переменный ток: 400 мкА 20 А (1,5%)
- Измерение частоты: до 10 МГц
- Цифровой двухлучевой осциллограф DSO2100

- Интерфейс с ПК LPT
- Полоса пропускания 30МГц (-3dB)
- Два канала
- Объем памяти 32кБ/канал
- Коэффициент вертикальной развертки 50мВ/DIN 5В/DIN, точность 3%,
- Импеданс входного сигнала 1Мом/25пФ
- Макс вх.напряжение 100В
- Коэффициент временной развертки 5нс/DIN 320с/DIN
- Макс. временной интервал 100 Мс/с.
- Спектральный анализатор: полоса пропускания 0-50 Мгц. два канала, функции FFT.
- Регулируемая нагрузка (блок из двадцати 100 Ом ПЭВР-50, три параллельных блока с сопротивлением 184-214 Ом, 398-486 Ом, 500-594 Ом)
- Лабораторный автотрансформатор ЛАТР-1М (0~250 В)
Библиография
- ГОСТ 721-77 Системы энергоснабжения, сети, источники, преобразователи и приемники электрической энергии. Номинальные напряжения свыше 1000 В
- ГОСТ 19431-84 Энергетика и электрификация. Термины и определения
- ГОСТ 21128-83 Системы энергоснабжения, сети, источники, преобразователи и приемники электрической энергии. Номинальные напряжения до 1000 В
- ГОСТ 30372-95 Совместимость технических средств электромагнитная. Термины и определения
- Теоретическая электротехника, изд. 9-е, исправленное, М.-Л., издательство "Энергия", 1965
- Рекламные материалы компании N-Power
- Интернет-ресурс UPS.ru