Семейство мобильных процессоров Intel Core i7 11-го поколения (кодовое наименование Tiger Lake) с пониженным энергопотреблением было анонсировано год тому назад, и за прошедшее время практически все производители выдали на-гора десятки ноутбуков, ультрабуков и трансформеров на их основе. Компания LG тоже не опоздала и произвела на свет (в числе прочих) героя сегодняшнего обзора — тонкий и легкий ноутбук (ультрабук) на базе Intel Core i7-1165G7 с 17-дюймовым экраном. Подробнее о нем можно узнать на сайте производителя, а также из настоящего отчета.
Конфигурация и комплектация
Знакомство с устройством начинаем со официальных спецификаций.
| LG gram 17Z90P-G.AH78R | ||
|---|---|---|
| Процессор | Intel Core i7-1165G7 (4 ядра/8 потоков, 2,8/4,7 ГГц, TDP 28 Вт) | |
| Оперативная память | 16 ГБ LPDDR4x 4266 МГц в четырехканальном режиме, распаяна на системной плате, слотов SO-DIMM нет | |
| Видеоподсистема | интегрированная Intel Iris Xe Graphics | |
| Экран | 17 дюймов, 2560×1600 (16:10), глянцевый, Corning Glass, яркость 300 нит, охват цветового пространства DCI-P3 99% (стандартно), 95% (минимум)* | |
| Звуковая подсистема | кодек Realtek ALC255, 2 динамика Harman по 2 Вт | |
| Накопители | SSD 512 ГБ (Samsung PM981A MZ-VLB512B), M.2, PCIe 3.0, опционально SSD 1 ТБ есть возможность установки дополнительного SSD во второй слот M.2 | |
| Картовод | microSD | |
| Сетевые интерфейсы | Беспроводная сеть Wi-Fi | Intel Wi-Fi 6 AX201D2W |
| Bluetooth | Bluetooth 5.1 | |
| Интерфейсы и порты | USB | 2 × USB 3.1 Type-A 2 × USB 4.0 Type-C/Thunderbolt 4 с поддержкой DisplayPort и Power Delivery |
| RJ-45 | нет | |
| Видеовыходы | 1 × HDMI 2 × Thunderbolt 4 (разъем USB Type-C) | |
| Аудиоразъемы | комбинированный (миниджек 3,5 мм) | |
| Устройства ввода | Клавиатура | с подсветкой |
| Тачпад | кликпад | |
| IP-телефония | Веб-камера | 720p (1 Мп) |
| Микрофон | 2 | |
| Разъем для кенсингтонского замка | есть | |
| Дактилоскопический сканер | совмещен с кнопкой включения питания; поддерживается идентификация пользователя при запуске системы | |
| Аккумулятор | двухэлементный литий-ионный, 80 Вт·ч | |
| Размеры | 380×260×18 мм; максимальная толщина сзади с учетом опор — 24 мм | |
| Вес без блока питания | паспортный: 1,35 кг измерено iXBT: 1,29 кг | |
| Адаптер питания | 65 Вт; 100—240 В | |
| Операционная система | Windows 10 Home | |
| Цена в интернет-магазине LG | 179 тысяч рублей для модели с SSD 1 ТБ | |
| Розничные предложения | ||
* Величина охвата цветового пространства экрана приведена по спецификациям производителя.
Уже при беглом знакомстве с LG gram 17Z90P становится понятно, на какие именно черты своего детища поставил производитель — на легкость и компактность. Разумеется, это понятия относительные (особенно в среде разнородных и разноформатных моделей мобильных компьютеров), но вес 1,3 кг, а равно и толщина корпуса 18 мм без учета опор сделают честь даже 14-дюймовым устройствам. Конечно, это машина не для геймера, графического дизайнера или создателя трехмерной анимации — это бизнес-ассистент, в котором всё подчинено эстетике, удобству пользования и длительной работе без доступа к электрической розетке.
Упаковка эффектная, со строгим классическим оформлением, без излишеств. Черная коробка из нетолстого картона наводит на мысль о содержащемся внутри предмете одежды, а не о портативном ПК.
Помимо самого ультрабука в комплекте поставляется довольно легкий адаптер питания (240 г, с кабелем — 295 г), который подходит для работы от сети переменного тока 50—60 Гц при напряжении 100—240 В и обеспечивает на выходе 20 В при силе тока 3,25 А (мощность 65 Вт).
Внешний вид и эргономика
Лаконизм в оформлении как нельзя лучше подчеркивает два главных качества LG gram 17Z90P — относительную (для моделей с 17-дюймовым экраном) компактность и безусловную легкость. Для снижения веса производитель проявил недюжинную изобретательность и пошел на разные хитрости, о которых мы расскажем далее.
При первом визуальном и тактильном контакте с ультрабуком может показаться, что его корпус изготовлен из пластика, но это не так. Наружные пластины крышки, клавиатурной панели и днища — это листовой металл (магниевый сплав), дополнительно усиленный вкладками из поликарбоната. Ошибку в отношении определения материала корпуса порождает матовый лак, котором покрыт металл. Снаружи все выглядит строго, но приятно. Гармонию внешних форм несколько нарушают лишь скосы корпуса к днищу спереди и по бокам, но это сделано для создания иллюзии еще меньшей, чем на самом деле, толщины устройства.
LG gram 17 обладает 17-дюймовым экраном, поэтому его плоскости значительно протяженнее, чем у 14- и 15,6-дюймовых моделей, но никакой громоздкости не ощущается, а вес 1,3 кг вообще рекордно мал для этого класса устройств.
Отпечатки пальцев, образующиеся при контакте с поверхностями, практически незаметны и к тому же легко стираются. Крышка удерживается в закрытом состоянии при помощи петель, доводчика и двух магнитов. Шов между разъемными частями ощущается по всему периметру, но подцепить крышку удается лишь спереди, где ее край нависает над специально предусмотренным для этого ответным углублением. После этого крышка приподнимается, и ее можно запросто откинуть одним пальцем одной руки.
Максимальный угол раскрытия крышки составляет 140°. Вследствие своей тонкости она слабо противится деформации на изгиб и скручивание, особенно по диагональным осям. Разумеется, в закрытом состоянии подобного отметить нельзя. Крышка уверенно прилегает к плоскости клавиатурной панели, не качается и не хлопает (благодаря скрытым магнитам).
На нижней панели мало примечательного: четыре толстых резиновых опоры, линейка вентиляционных отверстий да решетки над динамиками у скосов корпуса ближе к переднему краю. Вероятно, из эстетических соображений производитель прячет крепежные винты под резиновыми опорами и круглыми наклейками, поэтому при разборке корпуса придется каждый раз отрывать этот камуфляж, а затем приклеивать его обратно.
Сзади у ноутбука совершенно пусто. Правда, именно назад вентилятор выбрасывает нагретый воздух из внутреннего объема корпуса, но у закрытого ноутбука путь эвакуации скрыт от глаз задним «козырьком» крышки.
Слева расположены видеовыход HDMI, два разъема USB4 Type-C/Thunderbolt 4 и комбинированный аудиоразъем. Заряжать ноутбук можно подключением адаптера питания к любому из разъемов USB Type-C. Вдобавок, второй (слева) разъем поддерживает вывод графики DisplayPort и зарядку мобильных устройств Power Delivery.
Спереди нет никаких деталей кроме выступа, за который можно подцепить край крышки.
Справа расположен слот картовода для носителей microSD, два порта USB3 Gen2 Type-A и отверстие кенсингтонского замка.
Выключатель питания совмещен с дактилоскопическим сканером. При запуске устройства идентификация пользователя происходит автоматически, в момент нажатия на кнопку, что избавляет от необходимости производить дополнительные действия (ввод PIN или пароля и т. д.). Эта функция поддержана на уровне BIOS.
Рамка вокруг экрана справа и слева имеет ширину 6 мм, сверху — 9 мм. Над глянцевой поверхностью на 2 мм выступает окантовка крышки, позволяющая в закрытом состоянии сохранить дистанцию и избежать контакта между стеклом дисплея и клавиатурой.
Экран представлен матрицей IPS с разрешением WQXGA 2560×1600 пикселей. Это уже не Full HD, но еще не 4K. Охват цветового пространства DCI-P3 составляет, по сведениям производителя, минимум 95%, а «стандартно» — 99%. Непонятно: минимум тоже допускается? А как же стандарт? Упомянутое цветовое пространство утверждено Digital Cinema Initiatives (DCI) и используется в кинематографии, покрывая, кстати, sRGB целиком, как Испания — Португалию.
В LG gram 17Z90P используется полноразмерная клавиатура мембранного типа с цифровым блоком и с традиционно небольшим вертикальным ходом кнопок (около 1,5 мм). По топографии зон, раскладке и функциональности она примерно соответствует десктопной за вычетом шестиклавишного навигационного блока: Insert, Delete. Home, End, Page Up, Page Down расположены в верхнем ряду после функциональных клавиш, последние 4 попарно совмещены. Стрелки вдвое уменьшены по высоте, из-за чего пользоваться ими труднее. Алфавитно-цифровые клавиши чуть крупнее стандартных ноутбучных (15×16 мм). Расстояние между их центрами составляет 19 мм, а между краями — 4 мм. Ширина правого Shift — 38 мм, левого — 35 мм, пробела — 85 мм. Функциональные кнопки уменьшены до 13×9 мм.
Отметим удачную маркировку алфавитно-цифровых клавиш, которая отлично читается. Символы латинского алфавита хоть и более крупные, чем буквы кириллицы, но сдвинуты влево, в то время как наши национальные символы — в нижние правые углы. Для маркировки использован шрифт белого цвета, символы которого хорошо различаются благодаря довольно высокому контрасту с черной поверхностью клавиш.
Клавиатура снабжена подсветкой с двухуровневой регулировкой по яркости (третье состояние — подсветка выключена). Все буквы латиницы и кириллицы, цифры, знаки и спецсимволы подсвечиваются одинаково ярко. Работать легко и удобно даже при нехватке света.
В верхнюю часть рамки экрана встроена миниатюрная веб-камера с традиционно скверным для ноутбуков качеством изображения. Впрочем, для видеоконференций и веб-трансляций сгодится и такое устройство.
Перед клавиатурой расположен чуть утопленный и заметно увеличенный (132×83 мм) по сравнению с типичными 17-дюймовыми моделями кликпад без выделенных кнопок. Дальняя часть сенсорной площадки на нажатия реагирует плохо, лучше делать это в ближнем к пользователю поле, где четкость срабатывания очень хорошая. С жестами, подразумевающими только касание поверхности, никаких проблем нет.
Внутреннее устройство
Для снятия нижней крышки корпуса нужно прежде удалить пять круглых липких наклеек и четыре резиновые опоры, а затем отвернуть обнаруженные под ними 9 винтов. Внутри открывается непривычный простор: аппаратные компоненты сосредоточены в верхней части устройства (это менее половины внутреннего объема), а в нижней привольно и вольготно размещаются лишь аккумулятор и два динамика. Можно было бы установить здесь третий, а то и четвертый дополнительные элементы батареи плюс еще один слот M.2 и другие дополнения, но производитель решил следовать названию серии. Раз нам дорог каждый gram — обойдемся без излишеств.
Системная плата, как нынче принято, разрезная. Иногда ее составляют три части: основная, где расположены процессор и память, и две боковые с разъемами для внешних устройств. Здесь же решение двухкомпонентное, отделён только правый блок (следует учесть, что на фото, приведенном выше, всё перевернуто вверх дном и зеркально). На этом правом блоке под экранирующей наклейкой помещается адаптер Wi-Fi (его антенна уходит в канал правой петли крышки). Соединение с основной частью реализовано при помощи желто-коричневого шлейфа, маркированного у соответствующих разъемов «Sub» (подчиненная часть с разъемами) и «Main» (основная часть системной платы).
Система охлаждения редуцирована до минимума по набору компонентов, их форме, весу и размерам: один вентилятор, одна тепловая трубка, один радиатор. В отличие от типичного для других устройств конструктива, в котором место контакта тепловой трубки с диссипаторами процессора и графики скрыто от глаз, здесь производитель сэкономил на маскировке (и это правильно). Поэтому видна вожделенная сине-зеленая подложка Intel Core i7-1165G7. Под установленным SSD и над вторым (пустующим) слотом M.2 в системной плате сделано два выреза. Из косо расположенного гребенчатого разъема в канал левой (на фото — правой) петли крышки уходит сигнальный и питающий кабель экрана.
Ультрабук располагает 16 ГБ оперативной памяти LPDDR4x, работающей в четырехканальном режиме (по ширине интерфейса соответствует стандартному двухканальному режиму DDR4). Она целиком распаяна на системной плате и не подлежит замене и апгрейду.
Роль системного диска выполняет твердотельный накопитель Samsung MZ-VLB512B (PCIe 3.0) в слоте M.2, обладающий неформатированной емкостью 512 ГБ. В рабочей конфигурации после установки Windows 10 со служебными разделами и комплектом софта на нем доступно 407 ГБ.
Неизвлекаемый адаптер беспроводной связи Intel AX201D2W поддерживает высокие скорости обмена данных по Wi-Fi 6 и обеспечивает подключение внешних устройств по Bluetooth 5.1.
Программное обеспечение
Ультрабук поставляется с Windows 10 Home и пакетом приложений, среди которых:
- набор фирменных утилит (LG Control Center, LG Power Manager и др.),
- пробная версия Microsoft Office,
- МойОфис Стандартный (домашняя версия),
- сетап-инициатор Яндекс,
- Kaspersky Internet Security,
- приложения CyberLink для работы с медиаконтентом (PowerMediaPlayer 14, Color Director 5, Photo Director 8, Audio Director 7).
Все фирменные утилиты переведены на русский язык, но это сделано примерно так же, как в стародавние времена доброхоты переводили программы, лишенные графического интерфейса. Английские термины обычно короче аналогичных русских, поэтому последние постоянно сокращались, иногда нелепым образом: к примеру, On/Off представало в виде «Вк/Вык» (и без точек, разумеется). Нынче время иное, но подход к решению проблем тот же. Понятное дело, что введя не слишком удачные сокращения русских терминов, в LG сэкономили на работе программистов, однако смотреть на все эти «управл.», «безоп.» и «срок сл.» неприятно. Впрочем, это мелочи — суть в другом.
Наиболее важной утилитой с точки зрения тестирования ультрабука для нас является LG Control Center.
Она предлагает выполнить некоторые настройки ПК и дает возможность выбрать профиль работы системы охлаждения из трех предустановленных: «Бесшумный», «Оптимальный» или «Производительный». Этим мы займемся в испытаниях ультрабука под нагрузкой.
Здесь можно проверить и изменить системные параметры (экран, звук, сеть, клавиатура и кликпад),
настроить зарядку встроенного аккумулятора и проверить его состояние,
контролировать безопасность Windows.
Вторая важная фирменная утилита — LG Power Manager.
В принципе, она дублирует соответствующие блоки настроек Windows.
Еще одна, LG Update Center, предназначена для проверки и установки обновлений (в основном это касается самих фирменных утилит).
Приложение LG On Screen Display3 дает возможность настроить горячие клавиши.
Полезным дополнением является приложение Virtoo by LG.
Оно предназначено для подключения к ультрабуку смартфона и работы с ним как с компонентом системы. Однако поддерживается подключение только смартфонов LG — кто про них слышал последние лет пять?
Два приложения являются справочниками: LG Easy Guide (скриншот вверху) и LG TroubleShooting (скриншот внизу).
Особняком стоит утилита управления звуком DTS:X Ultra.
Экран
В LG gram 17Z90P используется 17-дюймовая (диагональ 43,2 см) IPS-матрица с разрешением 2560×1600 пикселей (отчет edid-decode).
Лицевая поверхность экрана изготовлена из стеклянной пластины, устойчивой к появлению царапин. Экран снаружи зеркально-гладкий. На внешней поверхности экрана нет специального олеофобного (жироотталкивающего) покрытия, поэтому следы от пальцев удаляются с трудом, а появляются быстро. Впрочем, экран не сенсорный, поэтому особых причин тыкать в него пальцами нет. Судя по яркости отраженных объектов, антибликовые свойства экрана не хуже, чем у Nexus 7. Для наглядности приведем фотографию, на которой в экранах обоих устройств отражается белая поверхность (где что — разобраться несложно):
Экран у ноутбука немного темнее (яркость по фотографиям 93 против 107 у Nexus 7), однако разница невелика, то есть специального антибликового покрытия у экрана нет. Никакого существенного двоения отраженных в экране объектов мы не обнаружили, значит воздушного промежутка в слоях экрана также нет.
При питании от сети или от батареи и при ручном управлении яркостью ее максимальное значение составило 360 кд/м² (в центре экрана на белом фоне). Максимальная яркость довольно высокая, поэтому за ноутбуком как-то можно будет работать на улице ясным днем, если расположиться хотя бы не под прямыми солнечными лучами.
Для оценки читаемости экрана вне помещения мы используем следующие критерии, полученные при тестировании экранов в реальных условиях:
| Максимальная яркость, кд/м² | Условия | Оценка читаемости |
|---|---|---|
| Матовые, полуматовые и глянцевые экраны без антибликового покрытия | ||
| 150 | Прямой солнечный свет (более 20000 лк) | нечитаем |
| Легкая тень (примерно 10000 лк) | едва читаем | |
| Легкая тень и неплотная облачность (не более 7500 лк) | работать некомфортно | |
| 300 | Прямой солнечный свет (более 20000 лк) | едва читаем |
| Легкая тень (примерно 10000 лк) | работать некомфортно | |
| Легкая тень и неплотная облачность (не более 7500 лк) | работать комфортно | |
| 450 | Прямой солнечный свет (более 20000 лк) | работать некомфортно |
| Легкая тень (примерно 10000 лк) | работать комфортно | |
| Легкая тень и неплотная облачность (не более 7500 лк) | работать комфортно | |
Эти критерии весьма условны и, возможно, будут пересмотрены по мере накопления данных. Отметим, что некоторое улучшение читаемости может быть в том случае, если матрица обладает какими-то трансрефлективными свойствами (часть света отражается от подложки, и картинку на свету видно даже с выключенной подсветкой). Также глянцевые матрицы даже на прямом солнечном свету иногда можно повернуть так, чтобы в них отражалось что-то достаточно темное и равномерное (в ясный день это, например, небо), что улучшит читаемость, тогда как матовые матрицы для улучшения читаемости нужно именно загородить от света. В помещениях с ярким искусственным светом (порядка 500 лк), более-менее комфортно работать можно даже при максимальной яркости экрана в 50 кд/м² и ниже, то есть в этих условиях максимальная яркость не является важной величиной.
Вернемся к экрану тестируемого ноутбука. Если настройка яркости равна 0%, то яркость снижается до 26 кд/м². В полной темноте яркость его экрана получится понизить до комфортного уровня.
На любом уровне яркости значимая модуляция подсветки отсутствует, поэтому нет и никакого мерцания экрана. В доказательство приведем графики зависимости яркости (вертикальная ось) от времени (горизонтальная ось) при различных значениях настройки яркости:

В этом ноутбуке используется матрица типа IPS. Микрофотографии демонстрируют типичную для IPS структуру субпикселей (черные точки — это пыль на матрице фотоаппарата):
«Кристаллический» эффект отсутствует.
Мы провели измерения яркости в 25 точках экрана, расположенных с шагом 1/6 от ширины и высоты экрана (границы экрана не включены). Контрастность вычислялась как отношение яркости полей в измеряемых точках:
| Параметр | Среднее | Отклонение от среднего | |
|---|---|---|---|
| мин., % | макс., % | ||
| Яркость черного поля | 0,23 кд/м² | −13 | 27 |
| Яркость белого поля | 330 кд/м² | −9,2 | 8,5 |
| Контрастность | 1400:1 | −22 | 7,3 |
Если отступить от краев, то равномерность белого поля очень хорошая, а черного поля и как следствие контрастности хуже. Контрастность по современным меркам для данного типа матриц выше типичной. Фотография ниже дает представление о распределении яркости черного поля по площади экрана:
Видно, что черное поле местами в основном ближе к краям немного высветляется. Впрочем, неравномерность засветки черного видно только на очень темных сценах и в почти полной темноте, значимым недостатком ее считать не стоит.
Экран имеет хорошие углы обзора без значительного снижения яркости и сдвига цветов даже при больших отклонениях взгляда от перпендикуляра к экрану и без инвертирования оттенков. Однако, черное поле при отклонении по диагонали сильно высветляется, и приобретает красно-фиолетовый оттенок.
Время отклика при переходе черный-белый-черный равно 27 мс (13 мс вкл. + 14 мс выкл.), переход между полутонами серого в сумме (от оттенка к оттенку и обратно) занимает 44 мс. Матрица небыстрая, разгона нет.
Мы определяли полную задержку вывода от переключения страниц видеобуфера до начала вывода изображения на экран (напомним, что она зависит от особенностей работы ОС Windows и видеокарты, а не только от дисплея). При 60 Гц частоты обновления (а другое значение и не доступно) задержка равна 13 мс. Это небольшая задержка, она абсолютно не ощущается при работе за ПК, да и в динамичных в играх не приведет к снижению результативности.
Далее мы измерили яркость 256 оттенков серого (от 0, 0, 0 до 255, 255, 255). График ниже показывает прирост (не абсолютное значение!) яркости между соседними полутонами:

На большей части шкалы серого рост прироста яркости более-менее равномерный и каждый следующий оттенок значимо ярче предыдущего, но в светах поведение меняется — пара оттенков сливается с предыдущими, а еще пара слишком ярче предыдущих. В самой темной области визуально различаются все оттенки:

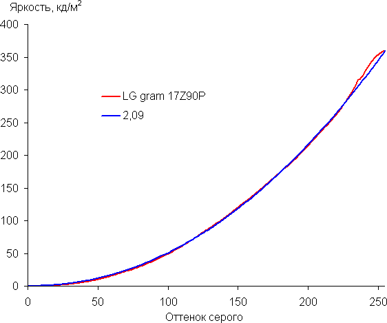
Аппроксимация полученной гамма-кривой дала показатель 2,09, что ниже стандартного значения 2,2. При этом реальная гамма-кривая в светлой области существенно отклоняется от аппроксимирующей степенной функции:

Исходный охват гораздо шире sRGB и близок к DCI-P3:

В итоге цвета обычных изображений, ориентированных на вывод на устройствах с охватом sRGB, выглядят неестественно насыщенными. Ниже приведен спектр для белого поля (белая линия), наложенный на спектры красного, зеленого и синего полей (линии соответствующих цветов), когда в явном виде нет корректировки цветового охвата

Можно предположить, что в светодиодах подсветки применяется синий излучатель и зеленый и красный люминофоры, при этом в красном люминофоре (а может и в зеленом) используются так называемые квантовые точки. Хорошее разделение компонент позволяет получить широкий цветовой охват.
Чтобы широкий цветовой охват не мешал при просмотре изображений, ориентированных на вывод на устройствах с охватом sRGB (а таких подавляющее большинство), можно использовать систему управления цветом (CMS), частью которой является профиль, описывающий свойства устройства отображения. Например можно использовать цветовой профиль, созданный нами во время тестирования с помощью ПО DisplayCAL.
По умолчанию баланс оттенков на шкале серого хороший (графики Без корр. на рисунках ниже), так как цветовая температура не сильно выше стандартных 6500 К, и отклонение от спектра абсолютно черного тела (ΔE) ниже 10, что для потребительского устройства считается приемлемым показателем. При этом цветовая температура и ΔE мало изменяются от оттенка к оттенку — это положительно сказывается на визуальной оценке цветового баланса. (Самые темные области шкалы серого можно не учитывать, так как там баланс цветов не имеет большого значения, да и погрешность измерений цветовых характеристик на низкой яркости большая.)


Дополнительно, двигая ползунок на плитке Цветовая температура (несколько фиксированных значений), мы попытались подправить цветовой баланс. Результат представлен на графиках выше с подписью Корр.
Коррекция позволила на белом поле приблизить цветовую температуру к 6500 К, но ее вариация на шкале серого возросла. В итоге выполнять такую коррекцию смысла нет, лучше использовать CMS.
Подведем итоги. Экран этого ноутбука имеет высокую максимальную яркость (360 кд/м²) и обладает отличными антибликовыми свойствами, поэтому устройством можно будет пользоваться ясным днем вне помещения, загородившись от прямого солнечного света. В полной темноте яркость можно понизить до комфортного уровня (вплоть до 26 кд/м²). К достоинствам экрана можно причислить низкое значение задержки вывода (13 мс), отсутствие мерцания, высокую контрастность (1400:1), хороший цветовой баланс и охват, близкий к DCI-P3. К недостаткам — низкую стабильность черного к отклонению взгляда от перпендикуляра к плоскости экрана. В целом качество экрана высокое.
Звук
LG gram 17Z90P оснащается акустикой начального уровня, которая представлена двумя двухваттными динамиками внутри корпуса. Для записи звука используются два микрофона в верхней части рамки экрана.
Динамики заключены в специальные пластмассовые монтажные контейнеры и закреплены на корпусе с помощью специальной демпфирующей подвески — такая конструкция позволяет избежать дребезжания при воспроизведении низких частот.
К сожалению, как и в большинстве других портативных ПК, независимо от их класса, диффузоры громкоговорителей ориентированы вниз (в стол), а не направлены на пользователя.
Измерение громкости встроенных громкоговорителей проводилось при воспроизведении звукового файла с розовым шумом. Максимальная громкость оказалась равна 72,1 дБА, так что среди ноутбуков, протестированных к моменту написания данной статьи (минимум 64,8 дБА, максимум 83 дБА), этот ноутбук немного тише среднего по громкости.
| Модель | Громкость, дБА |
|---|---|
| MSI P65 Creator 9SF | 83.0 |
| Apple MacBook Pro 13″ (A2251) | 79.3 |
| HP ProBook 455 G7 | 78.0 |
| Asus ROG Zephyrus S17 | 77.5 |
| HP Omen 15-ek0039ur | 77.3 |
| Dell Latitude 9510 | 77.0 |
| MSI Bravo 17 A4DDR | 76.8 |
| Apple MacBook Air (Early 2020) | 76.8 |
| Asus ROG Zephyrus Duo 15 SE GX551 | 76.0 |
| MSI Stealth 15M A11SDK | 76.0 |
| MSI GP66 Leopard 10UG | 75.5 |
| Apple MacBook Pro 13″ (Apple M1) | 75.4 |
| Asus VivoBook S533F | 75.2 |
| Gigabyte Aero 15 OLED XC | 74.6 |
| Honor MagicBook Pro | 72.9 |
| LG gram 17Z90P | 72.1 |
| Asus ROG Strix G732LXS | 72.1 |
| Lenovo Yoga Slim 7 Pro 14ACH5 | 72.0 |
| Lenovo IdeaPad 530S-15IKB | 66.4 |
| Asus ZenBook 14 (UX435E) | 64.8 |
Работа от батареи
LG gram 17Z90P комплектуется двухэлементной батареей, которая извлекается относительно просто. Единственный неприятный момент при этом, как мы уже заметили выше, — необходимость отклеивать резиновые опоры и пластиковые заглушки на днище ноутбука, под которыми скрыты головки винтов, а затем, после сборки, возвращать всё на свои места.
Батарея располагается между динамиками и занимает совсем немного места. Она представляет собой пластиковый пакет на пластмассовом каркасе, содержащий два литий-ионных элемента, и оснащена конструктивно полноценным разъемом, вставляющимся в ответный коннектор на системной плате. Всё это крепится к корпусу при помощи шести винтов.
Емкость массива аккумуляторов составляет 80 Вт·ч. Для того чтобы соотнести этот показатель с практически важным для нас временем автономной работы устройства, мы проводим тестирование по нашей методике с использованием скрипта iXBT Battery Benchmark v1.0. Согласно стандартной практике, яркость экрана выставляется равной 100 кд/м² (в нашем случае это соответствует примерно 39% в установках Windows 10), поэтому устройства с тусклыми экранами, расходующими меньше энергии, не получают преимущества.
Для пущей наглядности дополним испытания сравнением показателей автономности с двумя другими портативными ПК на базе того же процессора Intel Core i7-1165G7 с аналогичной встроенной графикой. В состязании помимо нашего героя принимают участие:
- трансформер Lenovo ThinkBook 14s Yoga ITL Type 20WE (наш обзор от 14 октября);
- ультрабук Dell XPS 13 9310 (наш обзор от 23 марта).
Приводим ниже данные испытаний автономности.
| Сценарий нагрузки | LG gram 17Z90P | Lenovo ThinkBook 14s Yoga ITL | Dell XPS 13 9310 |
|---|---|---|---|
| Работа с текстом | 16 ч. 34 мин. | 13 ч. 30 мин. | 10 ч. 31 мин. |
| Просмотр видео | 9 ч. 40 мин. | 8 ч. 40 мин. | 7 ч. 00 мин. |
При работе с текстом и просмотре интернет-страниц без сложных скриптов LG gram 17Z90P способен проработать от одной полной зарядки 16,5 ч., поэтому его можно брать с собой на службу или на деловую встречу без адаптера питания (если не предполагается долгая работа в «тяжелых» приложениях), а иногда даже пропускать ежедневную зарядку. Видео наш герой демонстрирует 9 ч. 40 мин. — это покрывает беспосадочный авиаперелет Москва — Токио и дает возможность посмотреть 4-5 кинокартин от начала до конца. Дополнительный комфорт обладателю LG gram 17Z90P в самолете обеспечит отличный 17-дюймовый экран, поскольку штатные дисплеи в спинках впереди стоящих кресел в 2-3 раза меньше по площади и обладают куда меньшим разрешением.
В объявленном нами соревновании моделей с аналогичной процессорной начинкой LG gram 17Z90P уверенно побеждает в обеих номинациях, «набор текста» и «просмотр видео», за счет значительно более емкой батареи (которую можно себе позволить установить в 17-дюймовом корпусе).
Маленький 65-ваттный адаптер питания оснащен кабелем для подключения к ультрабуку посредством порта USB Type-C, поэтому он может использоваться и для зарядки других устройств, а его, в свою очередь, можно заменить для зарядки ноутбука любым достаточно мощным сторонним адаптером.
На левой боковой панели ультрабука между двумя разъемами USB Type-C имеется сигнальный светодиод, свидетельствующий о подаче внешнего питания.
Заряжать LG gram 17Z90P можно при подключении адаптера к любому из этих двух портов. При этом на экран даже выключенного устройства на несколько секунд выводится информация о заряде аккумулятора.
Фирменная утилита LG Control Center дает возможность активировать опцию сбережения ресурса батареи путем ее недозарядки («увелич. срок сл. аккум»).
Длительность зарядки LG gram 17Z90P до 100% составляет 1 ч. 53 мин. При этом с самого начала и до достижения 86% процесс протекает с почти неизменной скоростью, а на завершающем отрезке ощутимо замедляется.
Для достижения 50% заряда требуется 1 ч 4 мин., для 80% — 1 ч. 43 мин. Медленнее накапливается порция с 95% до 98% (15 мин.), а для набора финишных 2% требуется всего 2 мин.
Работа под нагрузкой и нагрев
Система охлаждения LG gram 17Z90P довольно проста, и мы рассказали об этом при описании внутреннего устройства ультрабука.
Движение воздуха происходит в одном направлении: забортный поступает через отверстия в нижней панели корпуса, а выброс горячего производится единственным вентилятором через единственный радиатор назад, по направлению к нижней части экрана, поскольку прямой путь перекрыт задним козырьком крышки (и в открытом, и в закрытом положении).
Мы не нашли утилит для измерения скорости вращения вентилятора, а утилита HWInfo, которой мы пользуемся для мониторинга системы, не может обнаружить в системе нужного датчика. Поэтому скажем на словах: при обычной офисной работе и даже при просмотре видео в Youtube наш герой не производит никакого шума. Параметры компонентов системы меняются в зависимости от того, в каком из выбранных профилей она работает, а эти профили определены производителем в виде трех сценариев:
- «Бесшум.» (бесшумный);
- «Оптим.» (оптимальный);
- «Произв.» (производительный).
Во всех случаях речь идет не только о режимах работы системы охлаждения, но и о параметрах разгона процессора и интегрированной графики (тактовая частота и потребление). Для выявления специфики работы в каждом из сценариев мы проводим испытания под нагрузкой, создаваемой при помощи утилиты powerMax. Результаты испытаний приведены в таблице (см. ниже), где через дробь представлены максимальные и установившиеся значения, а через тире — пределы вариабельности соответствующих показателей.
| Сценарий нагрузки | Частота CPU, ГГц | Температура CPU, °C | Потребление CPU, Вт | Частота GPU, МГц | Температура GPU, °C | Потребление GPU, Вт |
|---|---|---|---|---|---|---|
| Профиль Бесшумный | ||||||
| Максимальная нагрузка на процессор | 0,2 | 47 | 5 | |||
| Максимальная нагрузка на видеокарту | 50 | 52 | 1,2 | |||
| Максимальная нагрузка на процессор и видеокарту | 0,2 | 52 | 5 | 50 | 53 | 0,6 |
| Профиль Оптимальный | ||||||
| Максимальная нагрузка на процессор | 3,5/2 | 90 | 40/18 | |||
| Максимальная нагрузка на видеокарту | 100—1300 | 89 | 20/8—10 | |||
| Максимальная нагрузка на процессор и видеокарту | 2,7/1,4 | 91 | 26/17 | 100—1200 | 85 | 7/2—4 |
| Профиль Производительный | ||||||
| Максимальная нагрузка на процессор | 3,3/2,2 | 91 | 36/19 | |||
| Максимальная нагрузка на видеокарту | 100—1300 | 89—92 | 19/8—10 | |||
| Максимальная нагрузка на процессор и видеокарту | 3/1,7 | 89—92 | 37/21 | 100—1300 | 85 | 11/4—6 |
Профиль Бесшумный
По названию понятно, что в этом сценарии система охлаждения не должна производить шума. И действительно, вентилятора совершенно не слышно. Температура CPU и GPU в простое остается на одном (низком) уровне 41 °C, потребление процессора составляет 2 Вт, а потребление видеоускорителя вообще околонулевое.
Под нагрузкой отдельно на CPU, отдельно на GPU и на то и другое вместе картина практически одинаковая; отличия в числовых значениях показателей минимальные и касаются лишь температуры обоих вычислителей и тактовой частоты видеоускорителя. Отметим, что это не просто режим со сниженным потреблением ради уменьшения шума, здесь подход радикальный, частоты и потребление урезаны ниже привычного по другим ноутбукам минимума. Но зато и система охлаждения работает практически бесшумно. Что заявлено, то и обеспечено, всё честно.
Профиль Оптимальный
При бездействии в Оптимальном профиле вентилятора не слышно (как и в бесшумном). Да и показатели в целом почти такие же (только температура CPU и GPU на один градус выше).
Под максимальной нагрузкой на процессор тактовая частота последнего в коротком начальном периоде взлетает до 3,5 ГГц с одновременным броском потребления до 40 Вт. Спустя всего 6 секунд оба этих показателя понижаются: в первой фазе очень быстро, а затем очень медленно. Огибающая напоминает график гиперболической функции с тем отличием, что примерно на отметке 30 секунд происходит второй подброс частоты и потребления, но на этот раз весьма малый по амплитуде. Он разрывает гиперболу вскоре после начала ее пологого нисходящего сегмента. На четвертой минуте теста оба показателя стабилизируются на отметках 2 ГГц и 18 Вт (это значительно ниже паспортных значений процессора Intel Core i7-1165G7) и далее удерживаются на этих отметках до самого конца. Температура в первую же секунду возрастает до 90 °C и далее колеблется в пределах ±1 °C. Шум вентилятора слышен, но по громкости слишком мал, чтобы его замечать.
Под максимальной нагрузкой GPU ведет себя предсказуемо, но в первые 20 с «показывает характер»: отмечаются три волны подъема тактовой частоты до 1300 МГц (при этом потребление возрастает до 20 Вт) и последующих снижений на 15%-20%. После третьей волны тактовая частота на 2 секунды сбрасывается до минимального значения (100 МГц), и видеоускоритель начинает вести себя спокойнее. Хотя его попытки разогнаться продолжаются, подъемы тактовой частоты длятся лишь по 1—3 с и перемежаются резкими кратковременными спадами до упомянутого минимума 100 МГц. Потребление продолжает формировать на графике подъемы амплитудой 1—1,5 Вт и длительностью около 6 с (картина напоминает зубчатую стену средневековой крепости), но постепенно съезжает к среднему значению 10 Вт, которое устанавливается примерно к середине 4-й минуты. Температура GPU за первые 10 с тестового прогона достигает 92 °C (это очень много) и далее колеблется в пределах 3 °C. Утилита HWInfo не фиксирует перегрева, но сигнализирует о тротлинге у всех ядер CPU.
Под максимальной нагрузкой на оба вычислителя графики показателей CPU аналогичны тем, которые мы наблюдали при максимальной нагрузке только на него. Новизна ситуации состоит в числовых значениях: начальный бросок тактовой частоты лишь до 2,7 ГГц (ранее — до 3,5 ГГц) — он даже не достигает паспортного значения для процессора (2,8 ГГц), а стабилизация с выходом на плато происходит при 1,4 ГГц, а не при 2 ГГц, как это происходило в тесте под нагрузкой только на главный вычислитель. Температура тоже оказывается выше: у CPU — 91 °C (это терпимо, тем более что перегрева нет), у GPU — 85 °C. Для видеоускорителя картина совершенно нетипичная: максимум разгона наблюдается вовсе не в начальном периоде: здесь попытки разгона еще даже не начинаются. Первые 22 секунды GPU как бы примеряется к ситуации, и его тактовая частота не превышает минимума 100 МГц. Затем начинаются попытки рвануться вверх, сначала до невысоких 250 МГц, но с постепенным возрастанием тактовой частоты вплоть до 7-й минуты теста, когда ее максимальное значение останавливается на отметке 1,2 ГГц. Аналогично изменяется и потребление, график которого в период стабилизации напоминает, как и ранее, стену крепости, зубцы которой формируются разгонными попытками видеоускорителя.
Профиль Производительный
При отсутствии нагрузки показатели потребления CPU и GPU такие же, как в бесшумном и оптимальном режимах, а температура обоих вычислителей выше. (Обычно все наоборот: в высокопроизводительном сценарии вентилятор вращается на более высоких скоростях, поэтому охлаждение оказывается эффективнее, и температура при бездействии ниже.)
Приложение максимальной нагрузки на центральный процессор порождает ту же картину, что в двух ранее рассмотренных сценариях: первоначальный всплеск тактовой частоты и потребления, затем стабилизация. Огибающая представляет собой уже не гиперболу, а параболу. Достигнутые максимумы первого показателя ниже, а второго — выше, чем в аналогичной ситуации при оптимальном профиле: 3,3 ГГц/36 Вт против 3,5 ГГц/40 Вт. Этот инициальный период длится немного меньше, и стабилизация наступает уже на пятой минуте теста. Температура CPU доходит до 91 °C, но перегрева не наблюдается, зато в пакете процессора и во всех его ядрах (поочередно либо одновременно) отмечается тротлинг. Шум вентилятора слышен, но не мешает при работе.
При максимальной нагрузке на видеоускоритель тактовая частота колеблется в тех же пределах, что и при оптимальном сценарии (от 100 до 1300 МГц) при почти таком же потреблении (максимум 19 Вт, а при стабилизации — колебания от 8 до 10 Вт) с аналогичной картиной «зубчатой стены». При этом температура GPU после короткого начального периода постоянно держится на уровне 89—92 °C.
При одновременной нагрузке на CPU и GPU картина аналогична той, которую мы видели в оптимальном профиле, но тактовые частоты и потребление у обоих вычислителей больше. Однако при стабилизации частота процессора удерживается на уровне 1,7 ГГц, потребление — 21 Вт (это ниже паспортных 2,8 ГГц и 28 Вт). В трех ядрах из четырех возникает тротлинг, хотя перегрева, как и ранее, не наблюдается. Вентилятор работает на повышенных оборотах, но создаваемый шум практически не выходит за границы условно комфортного.
В общем, у нас сложилось впечатление, что в угоду тихому режиму работы производитель ввел чрезмерно жесткие ограничения производительности во всех сценариях, которые следует назвать даже не придавливанием, а удушением системы. В результате даже в производительном профиле процессор работает на тактовой частоте ниже паспортной и не отбирает положенной ему мощности. Тротлинг возникает в ядрах CPU во всех профилях, кроме бесшумного. А это, несмотря на отсутствие перегрева, является, скорее всего, признаком несостоятельности системы охлаждения, которая соответствует потребностям системы лишь в энергоэкономичном режиме. Зададимся вопросом: как при учете перечисленного можно позволять CPU «отъесть» 40 Вт мощности в инициальный период работы в оптимальном сценарии?
Ниже приведены термоснимки, полученные после долговременной работы ноутбука под максимальной нагрузкой на CPU и GPU (профиль Производительный):
Под максимальной нагрузкой работать с клавиатурой комфортно, так как места под запястьями едва нагреваются. Однако держать ноутбук на коленях неприятно, поскольку колени ощущают нагрев днища ноутбука. Блок питания греется довольно сильно, поэтому при долговременной работе с высокой производительностью лучше следить, чтобы он не был ничем накрыт.
Уровень шума
Измерение уровня шума мы проводим в специальной звукоизолированной и полузаглушенной камере. При этом микрофон шумомера располагается относительно ноутбука так, чтобы имитировать типичное положение головы пользователя: экран откинут назад на 45 градусов, ось микрофона совпадает с нормалью, исходящей из центра экрана, передний торец микрофона находится на расстоянии 50 см от плоскости экрана, микрофон направлен на экран. Нагрузка создается с помощью программы powerMax, яркость экрана установлена на максимум, температура в помещении поддерживается на уровне 24 градусов, но ноутбук специально не обдувается, поэтому в непосредственной близости от него температура воздуха может быть выше. Для оценки реального потребления мы также приводим (для некоторых режимов) потребление от сети. Аккумулятор предварительно заряжен до 100%; в настройках фирменной утилиты выбрались профили Бесшумный, Оптимальный и Производительный:
| Сценарий нагрузки | Уровень шума, дБА | Субъективная оценка | Потребление от сети, Вт |
|---|---|---|---|
| Оптимальный | |||
| Максимальная нагрузка на процессор | 24,2 | очень тихо | 21—35 (максимум 64) |
| Максимальная нагрузка на видеокарту | 24,0 | очень тихо | 24 (максимум 43) |
| Максимальная нагрузка на процессор и видеокарту | 24,2 | очень тихо | 21—31 (максимум 64) |
| Бесшумный | |||
| Бездействие | 17,3 | условно бесшумно | 12 |
| Максимальная нагрузка на процессор и видеокарту | 21,6 | очень тихо | 22—27 (максимум 63) |
| Производительный | |||
| Максимальная нагрузка на процессор и видеокарту | 29,5 | тихо | 31 (максимум 63) |
Если ноутбук не нагружать совсем, то его система охлаждения даже в случае профиля Бесшумный все равно работает в активном режиме, но настолько тихо, что на указанном выше расстоянии от ноутбука уровень шума едва превышает фоновое значение в звукоизолированной камере. На практике услышать ноутбук в таком режиме невозможно. Даже под большой нагрузкой и в самом производительном профиле шум от ноутбука очень невысокий. Характер шума ровный и раздражения не вызывает.
Для субъективной оценки уровня шума применим такую шкалу:
| Уровень шума, дБА | Субъективная оценка |
|---|---|
| Менее 20 | условно бесшумно |
| 20—25 | очень тихо |
| 25—30 | тихо |
| 30—35 | отчетливо слышно |
| 35—40 | громко, но терпимо |
| Выше 40 | очень громко |
От 40 дБА и выше шум, с нашей точки зрения, очень высокий, долговременная работа за ноутбуком затруднительна, от 35 до 40 дБА уровень шума высокий, но терпимый, от 30 до 35 дБА шум отчетливо слышно, от 25 до 30 дБА шум от системы охлаждения не будет сильно выделяться на фоне типичных звуков, окружающих пользователя в офисе с несколькими сотрудниками и работающими компьютерами, где-то от 20 до 25 дБА ноутбук можно назвать очень тихим, ниже 20 дБА — условно бесшумным. Шкала, конечно, очень условная и не учитывает индивидуальных особенностей пользователя и характер звука.
Производительность
В ноутбуке используется 4-ядерный (8-поточный) мобильный процессор 11-го поколения Intel Core i7-1165G7 (кодовое наименование Tiger Lake). Он производится в соответствии с 10-нанометровыми технологическими нормами производственного процесса SuperFin. Официальные частоты составляют 2,8/4,7 ГГц, штатное тепловыделение — до 28 Вт. В тестах под нагрузкой мы видели, что он в состоянии длительно отбирать в стабильном режиме ощутимо меньше, 21 Вт при частоте до 2 ГГц, а пиковое потребление 40 Вт при 3,5 ГГц возможно лишь в течение нескольких секунд.
Прежде чем приступить к испытаниям производительности, поговорим о системном накопителе. Это SSD форм-фактора M.2 под названием Samsung PM981A (MZ-VLB512B) с интерфейсом PCIe 3.0. Рассмотрим, на что он способен, и обратимся за помощью к утилите CrystalDiskMark.
Картина выглядит неплохо. Для ее полноты приведем ниже результаты аналогичных испытаний SSD-накопителей в двух других мобильных ПК, Samsung MZ-ALQ512H в трансформере Lenovo ThinkBook 14s Yoga ITL и Kioxia KXG60ZNV1T02 в ноутбуке Dell XPS 13 9310.
Теперь проанализируем данные производительности LG gram 17Z90P в реальных условиях, полученные при тестирования ультрабука в соответствии с методикой и набором приложений нашего тестового пакета iXBT Application Benchmark 2020. Процессор в ноутбуке LG не претендует на лавры рекордсмена производительности — это чип для мобильных ПК со сверхнизким энергопотреблением. Но все же это не решение начального уровня, и к тому же процессор относится к пока еще самому последнему, одиннадцатому поколения Intel Core. Мы сравним его достижения с показателями уже не раз упомянутых Lenovo ThinkBook 14s Yoga ITL и Dell XPS 13 9310, которые оснащаются таким же процессором Intel Core i7-1165G7. Для целей традиционного сравнения под рукой (то есть в левой колонке таблицы) всегда остаются показатели референсного десктопа с 6-ядерным Intel Core i5-9600K.
| Тест | Референсный результат (Intel Core i5-9600K) | LG gram 17Z90P | Lenovo ThinkBook 14s Yoga ITL | Dell XPS 13 9310 |
|---|---|---|---|---|
| Видеоконвертирование, баллы | 100 | 39 | 72 | 59 |
| MediaCoder x64 0.8.57, c | 132,0 | 302,8 | 187,6 | 220,3 |
| HandBrake 1.2.2, c | 157,4 | 417,5 | 222,3 | 270,5 |
| VidCoder 4.36, c | 385,9 | 1091,2 | 524,6 | 668,3 |
| Рендеринг, баллы | 100 | 48 | 82 | 68 |
| POV-Ray 3.7, с | 98,9 | 256,9 | 155,8 | 185,8 |
| Cinebench R20, с | 122,2 | 254,9 | 143,4 | 178,0 |
| Вlender 2.79, с | 152,4 | 337,8 | 187,0 | 238,8 |
| Adobe Photoshop CС 2019 (3D-рендеринг), c | 150,3 | 240,9 | 145,7 | 166,8 |
| Создание видеоконтента, баллы | 100 | 67 | 90 | 76 |
| Magix Vegas Pro 16.0, c | 363,5 | 588,0 | 474,0 | 502,0 |
| Adobe After Effects CC 2019 v 16.0.1, с | 468,7 | 927,0 | 496,0 | 660,0 |
| Photodex ProShow Producer 9.0.3782, c | 191,1 | 236,0 | 187,4 | 223,4 |
| Обработка цифровых фотографий, баллы | 100 | 80 | 119 | 106 |
| Adobe Photoshop CС 2019, с | 864,5 | 1021,9 | 731,9 | 878,0 |
| Adobe Lightroom Classic СС 2019 v16.0.1, c | 138,5 | 145,6 | 108,6 | 115,6 |
| Phase One Capture One Pro 12.0, c | 254,2 | 403,4 | 227,5 | 253,5 |
| Распознавание текста, баллы | 100 | 48 | 80 | 69 |
| Abbyy FineReader 14 Enterprise, c | 492,0 | 1033,8 | 616,1 | 713,9 |
| Архивирование, баллы | 100 | 73 | 105 | 94 |
| WinRAR 5.71 (64-bit), c | 472,3 | 681,1 | 419,4 | 467,7 |
| 7-Zip 19, c | 389,3 | 508,7 | 398,7 | 448,2 |
| Научные расчеты, баллы | 100 | 47 | 81 | 66 |
| LAMMPS 64-bit, c | 151,5 | 361,2 | 174,7 | 237,4 |
| NAMD 2.11, с | 167,4 | 446,1 | 234,0 | 300,2 |
| Mathworks Matlab R2018b, c | 71,1 | 148,8 | 93,8 | 112,5 |
| Dassault SolidWorks 2018 SP05 + Flow Simulation, c | 130,0 | 192,7 | 144,0 | 153,0 |
| Интегральный результат без учета накопителя, баллы | 100 | 55 | 89 | 75 |
| WinRAR 5.71 (Store), c | 78,0 | 21,9 | 20,0 | 22,6 |
| Скорость копирования данных, c | 42,6 | 8,9 | 11,3 | 8,9 |
| Интегральный результат накопителя, баллы | 100 | 413 | 385 | 406 |
| Интегральный результат производительности, баллы | 100 | 101 | 138 | 125 |
Наш герой проигрывает референсной системе во всех номинациях, но это закономерно: типичный мобильный процессор по определению уступает типичному десктопному, а шесть ядер последнего мощнее, чем четыре ядра чипа с низким потреблением. Опережение эталонного ПК произошло лишь по интегральному показателю производительности (101%), да и то за счет значительно более быстрого системного накопителя (SSD с интерфейсом PCIe 3 против SSD с SATA). Сюрпризом стал серьезный проигрыш нашего подопечного в соревновании с двумя соперниками на базе такого же CPU. При испытании под нагрузкой мы видели, что режим работы процессора сильно ограничен для достижения более высоких показателей автономности и лучшего акустического комфорта, а теперь видим и цену этой адаптации. Напрашивается совет установить в LG gram 17Z90P более мощную систему охлаждения (благо места в корпусе полно), которая справилась бы с более производительным режимом процессора при том же уровне шума. Однако тогда пострадает вес — как бы не ключевое преимущество ноутбука. Так что все закономерно и взаимосвязано, важно только получить четкое представление о сочетании характеристик и возможностей ноутбука до покупки.
Тестирование в играх
LG gram 17Z90P обладает графикой Intel Iris Xe (Intel Tiger Lake GT2), интегрированной на одной подложке с центральным процессором Intel Core i7-1165G7. К сожалению, упомянутому видеорешению далеко до уровня дискретных мобильных видеокарт. Да и сама Intel указывает, что Iris Xe Graphics изначально создавалась не для игр. Тем не менее мы предприняли попытки протестировать героя обзора в игровых приложениях нашего стандартного набора при минимальных настройках качества в нативном разрешении и в 1440×900. Приводим ниже таблицу с результатами, где через дробь указаны средние и минимальные значения fps.
| Игра | 2560×1600 | 1440×900 |
|---|---|---|
| World of Tanks | 161/76 | 254/151 |
| Far Cry 5 | 9/5 | 16/13 |
| Tom Clancy’s Ghost Recon Wildlands | 5/<1 | 6/<1 |
| Metro: Exodus | не запускается | не запускается |
| Shadow of the Tomb Raider | 51/12 | 56/24 |
| World War Z | 11/2 | 21/2 |
| Deus Ex: Mankind Divided | 17/8 | 24/9 |
| F1 2018 | 15/9 | 35/28 |
| Strange Brigade | 15/6 | 23/19 |
| Assassin’s Creed Odyssey | не запускается | не запускается |
| Borderlands 3 | не запускается | не запускается |
| Gears 5 | 35/29 | 48/38 |
| A Total War Saga: Troy | 37/8 | 39/12 |
| Horizon Zero Dawn | не запускается | не запускается |
Четыре игры из четырнадцати попросту не запускаются. Условным нормативам играбельности (60 средних и 30 минимальных fps) соответствуют лишь «танчики». Однако Shadows of the Tomb Raider, F1 2018 и Gear 5 все-таки позволяют играть с минимальными настройками при разрешении экрана 1440×900, поскольку нижний порог частоты кадров не слишком сильно отличается от упомянутого стандарта, и, судя по субъективным ощущениям, это не влияет на геймплей.
Кстати, о World of Tanks: поскольку встроенный в бенчмарк enCore RT автоматический анализатор конфигурации настойчиво предлагал нам запуск со средними, а не минимальными настройками, мы предприняли тестирование и этих условиях. В нативном разрешении «танчики» оказались неиграбельными (26/16 fps), но при 1440×900 они могут использоваться без ограничений (111/62 fps).
Заключение
Испытанный нами ультрабук обладает привлекательной внешностью, хорошо оснащен, а главное — тонок и легок (1,3 кг), это его «изюминки». Пятое достоинство — тихая работа: в офисных приложениях и при просмотре видео никакого шума не слышно вообще, но даже под максимальной нагрузкой акустическое сопровождение негромкое и не отягощает. Интерфейсов достаточно: 4 порта USB (в том числе пара USB4/Thunderbolt 4), HDMI, миниджек для гарнитуры. Не хватает лишь разъема RJ-45 для подключения к проводной сети Ethernet, но он в тонких современных ноутбуках уже практически вымер. Имеется картовод для microSD и «джентльменский набор» для бизнеса: полноразмерная клавиатура с цифровым блоком, увеличенный по площади тачпад, кенсингтонский замок, вебкамера 720p и два встроенных микрофона, а также сканер отпечатков пальцев, который производит опознание пользователя в момент его прикосновения к кнопке включения питания, после чего дополнительно вводить пароль или PIN не требуется.
Потенциальные пользователи LG gram 17 — люди делового мира, достаточно требовательные к наружности своего компьютерного компаньона, но зачастую несведущие в тонкостях его аппаратной начинки. А между тем здесь много интересного. Выбор ультрамобильного процессора безусловно оправдан, так как фокус здесь — на тишине и долгой автономной работе: при работе от батареи LG gram 17Z90P позволяет набирать текст более 16,5 часов, а просматривать видео — 9 ч. 40 мин. (многие аналоги не дотягивают и до 80% таких показателей). Однако стремление увеличить автономность и понизить шум, производимый системой охлаждения, привело к чрезмерному ограничению производительности CPU, и в тестах реальных приложений герой обзора сильно проигрывает конкурентам с аналогичными процессорами, хотя и опережает их по длительности работы от батареи. Конечно, это не сильно ограничивает возможности ультрабука, но подлежит учету при выборе модели его использования. Оперативная память целиком распаяна на системной плате, апгрейд невозможен, но имеется свободный слот M.2, в который можно установить дополнительный SSD-накопитель. Экран представлен матрицей IPS с «рабочим» соотношением сторон 16:10. По нашим данным, его яркость составляет 360 кд/м², контрастность — 1400:1. Однако разрешение WQXGA и глянцевое стекло Gorilla Glass представляются в бизнес-ноутбуке скорее не рациональными, а имиджевыми решениями. Разрешение 2560×1600 не дает преимуществ при работе в офисных приложениях из-за мелкого масштаба текста; а глянец мешает работать своими отражениями и бликами. В то же время, указанные особенности существенно увеличивают цену устройства.
И все-таки достоинства у LG gram 17Z90P явно преобладают, и все удачные решения свидетельствуют в пользу этого элегантного устройства с достойной функциональностью и хорошей автономностью. Малая толщина, необыкновенная легкость и тихая работа потребовали от создателей ультрабука особой изобретательности в самых разных аспектах конструкции, от корпуса и системы охлаждения до системной платы и аккумулятора. Мы считаем подобные решения передовыми и присуждаем LG gram 17 награду редакции за оригинальный дизайн.

В заключение предлагаем посмотреть наш видеообзор ноутбука LG gram 17Z90P:
Наш видеообзор ноутбука LG gram 17Z90P можно также посмотреть на iXBT.video


























































