Магия цвета и светотени
| Название | Hasselblad X1D-50C* | ![]() |
| Дата анонса | 22 июня 2016 г. | |
| Тип | среднеформатная цифровая беззеркальная | |
| Производитель | Hasselblad | |
| Информация о камере | Hasselblad X1D на сайте производителя | |
| Цена (с объективом Hasselblad XCD 45mm F3.5) |
Содержание
- Средний формат
- Технические характеристики
- Дизайн и конструкция
- Сенсор
- Управление
- Оптика XCD
- О конкурентах
- Лабораторные тесты
- Практическая фотосъемка
- Итоги
- Галерея фотографий
Средний формат
В этом сегменте с давних пор царит привычный беспорядок, и виной тому — само понятие, которое позволяет включать сюда всё оборудование, которое использует светочувствительный материал (или сенсор), по размерам больше 35-миллиметрового кинопленочного кадра (36×24 мм), но меньше самой миниатюрной листовой фотопленкой (120×90 мм). Однако наиболее распространенным раньше считался «6×6» (сантиметров) — вариант среднего формата роликовой пленки, который активно развивала компания Hasselblad. Слово «Хассельблад» иногда вызывает прилив энтузиазма даже у тех, кто никогда не держал в руках фотокамеру и не снимал на мобильник. Это настоящая легенда! С помощью зеркальной Hasselblad 500EL (правда, весьма сильно видоизмененной) американские астронавты фотографировали свои приключения на Луне (программа «Аполлон»).
В «аналоговые» времена пленочно-бумажной фотографии марка Hasselblad de facto стала эталоном «квадратного кадра» 60×60 мм в зеркальном исполнении. Это то, к чему стремились не только успешные рекламные фотографы, но и многие фотожурналисты, а также «продвинутые» любители.
Торжество «цифрографии» отдалило средний формат от широких народных масс, сделав его уделом лишь очень богатых, и в кругах энтузиастов среднеформатные цифровые зеркальные камеры (ЦЗК) стали синонимом несбыточной мечты. Рынок оказался перераспределенным, основные усилия многих разработчиков сосредоточились на совершенствовании 35-миллиметровых систем. Средний формат тоже подвергся аналого-цифровому преобразованию, и «Хассель» даже остался в первых рядах, но масштаб его деятельности несколько сузился, и настали времена испытаний быстро изменяющимся рынком, к которым обычно никто не бывает готов.
Но вот летом 2016 года легендарный производитель сделал решительный шаг: на рынок вышла Hasselblad X1D. Это была настоящая сенсация, причем, двойная: во-первых, первая в мире «беззеркалка» среднего формата, а во-вторых, относительно доступный цифровой «Хассель». Конечно, нельзя сказать, что он подешевел до уровня полнокадровых камер, но на фоне привычных среднеформатных камер Hasselblad с ценниками в десятки тысяч долларов, новинка казалась просто подарком.
Движимые воспоминаниями о «золотом веке» «Хасселя», мы раскопали на чердаке старый пленочный среднеформатный «Салют» — отечественный аналог некогда весьма «продвинутой» камеры Hasselblad 1600F. Оригинал выпускался в Швеции всего в течение пяти лет (1948—1953), а копия — на киевском заводе «Арсенал» в течение двадцати трех (1957—1980)! Популярность и тираж советского аналога оказались неизмеримо выше: если Hasselblad 1600F было произведено немногим более 3000 экземпляров, то «Салютов» и «Салютов-С» (отличия только в объективах) — более 80 000. Один из авторов этого материала в свое время много и успешно снимал «Салютом», и эта камера в полной исправности до сих пор. Жаль, что ее цифровых последователей нам ожидать не приходится…
В плане устройства Hasselblad X1D посягнула на святое из наследства производителя — классическую компоновку своей собственной среднеформатной системы. Зеркало с проекцией на матовое стекло, шахта, видоискатель с пентапризмой и цифровой задник оказались беззеркальной камере (БЗК) ни к чему.

По сравнению с цифровым 100-мегапиксельным «Хасселем» Hasselblad X1D выглядит игрушкой, что кажется несколько несерьезным в мире среднего формата: камера даже более компактна, чем профессиональные топовые модели ЦЗК. Однако это следует воспринимать только как благо, потому что все ухищрения сделали камеру легче и удобнее.

Да и всего того, что осталось в конструкции первой в мире среднеформатной «беззеркалки», ей вполне хватает: сенсор, объектив, видоискатель, дисплей и далее по таблице.
Технические характеристики
Приводим технические характеристики модели Hasselblad X1D по данным производителя и результатам наших измерений.
| Полное наименование | Hasselblad X1D |
| Дата анонса | 22 июня 2016 г. |
| Тип | среднеформатная цифровая беззеркальная камера |
| Корпус | металлический (магниевый сплав) |
| Герметизация | защита от влаги и пыли (с объективами XCD) |
| Байонет | Hasselblad X |
| Объективы | объективы XCD, объективы HC/HCD с помощью адаптера XH |
| Сенсор | 50 Мп КМОП (CMOS), 8272×6200 пикселей |
| Размер кадра | средний формат, 43,8×32,9 мм |
| Кроп-фактор | 0,79 (для камер с размерами сенсора 36×24 мм) |
| Ширина пикселя | 5,3 мкм |
| Представление цветов | Hasselblad Natural Color Solution, HNCS; глубина цвета 16 бит |
| Динамический диапазон | 14 EV |
| Эквивалентная светочувствительность | ISO 100, 200, 400, 800, 1600, 3200, 6400, 12800, 25600 |
| Фокусировка | автоматическая контрастная однокадровая (35 зон), ручная (с перехватом автоматической) |
| Экспозамер (пределы измерения) | зонный (2—21 EV), центрально-взвешенный (1—21 EV), по центральной точке (1—21 EV) |
| Экспокоррекция | ±5 EV (для вспышки ±3 EV) с шагом 1/2 или 1/3 EV, автоматическая компенсация для центрального затвора |
| Экран | TFT, 3″, 24 бит, 920 000 точек, сенсорное управление |
| Видоискатель | электронный, 2,4 Мп |
| Стабилизация изображения | нет |
| Серийная съемка | 2,3 кадра в секунду |
| Затвор | центральный, механический (встроен в объективы XCD) |
| Диапазон выдержек | 60 мин. — 1/2000 с для объективов XCD, 1/800 с или 1/2000 с для объективов HC/HCD с адаптером XH |
| Выдержка X-синхронизации | любая в диапазоне 60 мин. — 1/2000 с |
| Баланс белого | автоматический, 5 установок, вспышка, ручной |
| Режимы съемки | быстрый ручной (MQ), ручной (M), приоритет диафрагмы (A), приоритет выдержки (S), программный (P), автоматический (□), съемка видео, пользовательские настройки (C1, 2, 3) |
| Управление вспышками | TTL с центрально-взвешенным экспозамером, совместимость со вспышками Nikon (SB-300, SB-500, SB-700, SB-900, SB-910), ISO 100—6400, экспокомпенсация от −3 до +3 EV, синхронизация при любой выдержке |
| Встроенная вспышка | нет |
| «Горячий башмак» | есть |
| Автоспуск | 1—60 с |
| Формат файлов | RAW 3FR 16 бит 8272×6200 (около 65 МБ), TIFF 8 бит 8272×6200 (около 154 МБ), JPEG 4128×3096 (3,2—5 МБ), видео MOV H.264 1920×1080p 25 кадров/с |
| Карты памяти | 2 слота SD/SDHC UHS-I |
| Интерфейсы | синхроконтакт внешней вспышки, USB 3.0 (Type-C), HDMI (Type-C), Wi-Fi, разъем (3,5 мм) для внешнего стереомикрофона, разъем (3,5 мм) для наушников |
| Источник питания | литий-ионная аккумуляторная батарея 7,2 В емкостью 3200 мА·ч |
| Размеры, вес | 150×98×71 мм, 725 г (включая батарею) |
| Средняя цена (с объективом Hasselblad XCD 45mm F3.5) |
Дизайн и конструкция
Hasselblad X1D изготавливается вручную в Швеции, и об этом не без гордости извещает надпись на верхней панели корпуса. Впрочем, несмотря на это, работа свенов из Гётеборга — лишь часть сложного производства.
Вот что заявил по этому поводу Пэрри Оостинг, теперь уже бывший генеральный директор Hasselblad, в интервью Крису Чисмэну, редактору отдела новостей британского онлайн-издания Amateur Photographer: «Весь дизайн «механики» был сделан нами в Швеции, а потом мы стали искать других поставщиков. Затвор изготавливается у нас, так как это наш ключевой компонент, то же относится и к разработке пользовательского интерфейса. Конечно, мы не производим дисплеев — их поставляют нам со стороны, а здесь мы их лишь тестируем. Но вот электронная плата позади дисплея, а также интерфейс пользователя — это точно наша работа». Сказано немного и не слишком четко, и следует, видимо, разъяснить, что под «механикой» имеются в виду затвор и корпус камеры. Впрочем, для сведущего очевидно, что ни сенсор, ни процессор обработки изображений, ни оптику Hasselblad не производит. О первом и третьем у нас разговор впереди, а второе выяснит лишь тот, кто разберет камеру (нам этого делать не советовали).

Вернемся к нашему подопечному. Корпус Hasselblad X1D изготовлен из алюминиевого сплава и представляет собой внушительную, но эстетически привлекательную конструкцию с удачно профилированным расширением для удержания правой рукой. Это расширение для надежности контакта покрыто текстурированной резиной.
Когда берешь камеру в правую руку, то на рукоятке спереди (в расчете на работу указательным пальцем) оказывается главное управляющее колесо, с помощью которого устанавливаются основные параметры съемки, а сзади (под большим пальцем) — вспомогательное.
Сверху располагаются «горячий башмак» для подключения вспышки и других аксессуаров, кнопки включения камеры, выбора установки ISO и баланса белого, переключателя режима фокусировки с автомата на ручное управление и обратно. Над всем этим господствует крупный желтый активатор спуска затвора. Интересно устроен помещающийся сразу за ним селектор выбора режимов съемки. В нерабочем состоянии (точнее, в ситуациях, когда пользоваться им не нужно) он утоплен в корпус и не выступает наверх. Это избавляет от ошибок при случайном задевании и непредвиденном переключении. Для приведения колеса в рабочее положение на него нужно нажать — он приподнимется и будет готово к использованию по назначению. Чтобы повторно блокировать колесо, на него нужно повторно нажать. Доступные режимы съемки: MQ (ручной быстрый), M (ручной), A (приоритет диафрагмы), S (приоритет выдержки), P (автоматический), съемка видео и три пользовательских режима с раздельно сохраняемыми настройками. Никаких «творческих программ» и предустановок для обработки сцены («пейзаж», «портрет» и т. д.), никаких съемок панорам и прочих автоматизированных режимов нет.
Отличия от других систем состоят в режиме MQ, когда работают только ручные установки выдержки, диафрагмы и ISO, а дисплей, экспонометр и автофокусировка отключены.
Спереди у Hasselblad X1D просматриваются своеобразные намеки на элементы конструкции и оформления классических среднеформатных камер производителя. Особенно узнаваема передняя вставка со скругленными углами, на которую устанавливается стыковочный узел байонета.
Под полированным кольцом фланца расположены две кнопки: справа — фиксатора объектива в байонете, слева — контроля глубины резкости, заставляющая принудительно срабатывать «прыгающую» диафрагму. Сверху слева помещается прожектор подсветки автофокуса и переднее управляющее колесо, о котором сказано выше.
На задней панели камеры доминирует, конечно же, дисплей. Он не оснащен поворотно-откидным креплением и не обладает подвижностью, но «очувствлен», то есть управлять меню и выбором параметров, а также листать фото при просмотре можно с помощью прикосновений.
Вторая крупная деталь сзади — широкий наглазник окуляра видоискателя. Справа на его рамке установлен датчик освещенности, позволяющий камере автоматически переключать вывод изображения с дисплей в видоискатель и обратно. Вверху слева у основания наглазника расположено колесо коррекции рефракции — это важно для тех, кто пользуется очками.
Над экраном слева видны отверстия встроенного динамика, справа — кнопки экспопамяти (AE-Lock) и переключателя режимов фокусировки с автоматического на ручной и обратно. Справа от дисплея в вертикальный ряд сверху вниз выстроены кнопки просмотр, увеличение, выбор, отмена, вход в меню/выход из меню.
Все контактные интерфейсы располагаются на левой боковой панели камеры, если держать ее видоискателем к себе. Под верхней дверцей находятся два слота для карт памяти SD. Запись можно организовать по-разному: 1) вторая карта подключается после заполнения первой; 2) данные сохраняются на оба носителя сразу, уменьшая вероятность потери отснятого материала из-за отказа оного из них; 3) один слот используется для записи RAW, а другой — JPEG и т. д.
Под нижней дверцей слева скрыты разъемы USB Type-C, Mini-HDMI и гнезда 3,5 мм для подключения внешнего стереомикрофона и наушников.
Встроенный беспроводной адаптер Wi-Fi позволяет работать с камерой дистанционно, при помощи компьютера. «Фирменный» программный пакет Phocus дает возможность управлять съемкой как фото, так и видео. Но из-за большого размера получаемых файлов переслать данные из камеры в компьютер по беспроводному протоколу нельзя (это заняло бы слишком много времени). Для обмена файлами служит интерфейс USB3.0. Он также дает возможность управлять камерой посредством PC и Mac, но уже с захватом изображения, полученного в ходе съемки, и всеми прочими возможностями, которые предоставляет программное обеспечение Phocus.
На «подошве» камеры имеется стандартное резьбовое крепление для штатива и отсек батареи с замком в виде рычажка. Крышки этот отсек не имеет, что поначалу навевает сомнения в достаточной герметичности.
На самом деле, батарея при установке в слот оказывается подпружиненной. Она довольно плотно прилегает к стенкам и удерживается внутри хитрым фиксатором, рычажок которого утоплен в корпус так, что случайно сдвинуть его почти невозможно. Впрочем, даже если это и случится, источник питания не упадет на землю, а лишь сдвинется на пару миллиметров, и для полного извлечения на него нужно будет слегка нажать.
Для зарядки батареи ее нужно извлечь и подключить к сетевому адаптеру со специальным разъемом — именно извлечь, поскольку внутри камеры она не заряжается ни от адаптера, ни через интерфейс USB.
Сенсор
Матрица нашего испытуемого по площади на 67% больше, чем у полноформатных камер, но меньше, чем у 100-мегапиксельных цифровых аппаратов Hasselblad (53,4×40 мм). Производитель не раскрывает деталей, однако в кругах экспертов считается очевидным тот факт, что ее изготавливает Sony: мол, а кому еще этим заниматься?
Разумеется, размеры среднеформатного сенсора Hasselblad X1D (43,8×32,9 мм) — это известного рода компромисс между желаниями разработчиков и потребителей, с одной стороны, и стоимостью производства — с другой. В принципе, современные технологии позволяют изготовить на одном кристалле сенсор размером 60×60 мм и даже больше, но при малой тиражности (несколько тысяч в год) порядок цены такого изделия выйдет на уровень суперкара «Формулы-1». Поэтому цифровые среднеформатные камеры используют сенсоры поменьше: по размерам они все равно крупнее, чем полноформатные «кинопленочные», а значит, автоматически зачисляются в разряд среднего формата.

При близких по значению показаниях «счетчика мегапикселей», которые выдает полноформатная матрица 36×24 мм, размер светоприемной ячейки у сенсора Hasselblad X1D значительно больше (поскольку сам он крупнее). Декларированный производителем динамический диапазон (ДД) ниже, чем заявленный для 100-мегапиксельного собрата Hasselblad H6D-100C, но выше, чем у топовых цифровых зеркальных камер. А вот ДД полнокадровой «беззеркалки» Sony A7RII уступает Hasselblad X1D лишь незначительно, на 0,1 EV.
| Canon 1D X Mark II | Nikon D5 | Hasselblad H6D-100c | Hasselblad X1D | Sony A7RII | |
| Разрешение, Мп | 20 | 21 | 100 | 50 | 42 |
| Формат кадра, мм | 36×24 | 36×24 | 53,4×40 | 43,8×32,9 | 36×24 |
| Размер кадра, пикселей | 5472×3648 | 5588×3712 | 11600×8700 | 8272×6200 | 7952×5304 |
| Шаг пикселя, мкм | 4,3 (8,5) | 6,4 | 4,6 | 5,3 | 4,4 |
| Динамический диапазон при ISO 100, EV | 13,3¹ | 12,3¹ | 15² | 14² | 13,9¹ |
Шаг пикселя мы вычисляли делением ширины сенсора (в мкм) на количество пикселей по горизонтали. У Canon 1D X Mark II каждый пиксель представлен парой светодиодов, поэтому реальный шаг вдвое меньше, чем 8,5 мкм, получаемые по формуле. Впрочем, этот прием, позаимствованный из мира смартфонов, в нашем случае дает результаты, которые «не отражают даже тени артефакта», как говорил один из классиков электронной микроскопии, нобелевский лауреат Кристиан де Дюв (Christian Rene de Duve, 1917—2013): физический поперечник фотодиода всегда значительно меньше. Согласно вычисленным данным, наибольшим шагом пикселей обладает Nikon D5, и логично было бы предположить, что его сенсор должен быть лучше, чем даже у 100-мегапиксельной Hasselblad H6D-100C, а это, мягко говоря, не совсем так.
Управление
Hasselblad X1D, как сказано выше, оборудован передним и задним колесами управления, диском селектора режимов съемки, кнопками активации фокусировки и ее перехвата в ручной режим, экспопамяти, выбора ISO и баланса белого. Для доступа к другим установкам нужно пользоваться меню. Поскольку экран сенсорный и обладает хорошей чувствительностью к прикосновениям, оперировать им удобно.
После включения камеры на дисплей выводится информационный экран актуальных параметров съемки. Начальный экран настроек вызывается (и отменяется) нажатием аппаратной кнопки «меню» справа от дисплея. Датчик освещенности автоматически управляет переключением вывода изображения с матрицы на видоискатель (когда тот расположен у глаза фотографа) или на дисплей (когда камера находится на расстоянии 3 см от лица и более).
При активации дискового селектора на дисплей выводится информация о выбранном режиме съемки. Для выбора зоны фокусировки можно просто ткнуть пальцем в то место на экране, где расположена нужная область. Значения диафрагмы, выдержки и ISO устанавливаются при помощи переднего и заднего управляющих колес либо выбором нужного значения из ниспадающего списка в меню.
Глубокое погружение в специфику меню выходит за рамки нашей задачи — для этого существует руководство пользователя камеры Hasselblad X1D. Мы просто приведем подборку из скриншотов.
Хотя визуальный интерфейс наводит скорее на мысль о «цифрокомпакте» или смартфоне, чем о дорогой камере, он прост, понятен и удобен. Особенно отрадно, что наиболее важные сведения (значения диафрагмы, выдержки, ISO) и опции выводятся крупно — это улучшает их распознаваемость в ясную погоду, когда под солнцем «слепнет» даже самый яркий дисплей.
Оптика XCD
Перед тем, как перейти к описанию линейки объективов для цифровой среднеформатной БЗК Hasselblad X1D, обратим внимание на два важных обстоятельства.
Первое. Среднеформатные системы Hasselblad отличает интересная черта: в них используется не шторно-щелевой затвор, как у других производителей, а центральный, устроенный наподобие диафрагмы и помещающийся не в камере, а в объективе. У центрального затвора есть важное достоинство: он позволяет работать со вспышками во всем диапазоне выдержек, а это очень важно для профессиональных фотографов. Поэтому, кстати, «Хассель» в пленочные времена был для них самым желанным инструментом.
Второе. Производитель, который выживает на рынке не один десяток лет и имеет за плечами много успешных моделей камер, начиная разрабатывать беззеркальные системы на базе выпускавшихся ранее зеркальных, сталкивается с проблемой, которая порождена, собственно, отказом от зеркала. Мы имеем в виду уменьшение в БЗК рабочего отрезка (расстояния между задней линзой объектива и сенсором) и, как следствие, необходимость создавать для нее новую линейку оптики. Есть, правда, и другой способ: использовать адаптер, который будет отодвигать объектив от сенсора, восстанавливая рабочий отрезок до стандартов «зеркалки». На наш взгляд, подобный подход напоминает скорее уступку самому себе, но все же он имеет право на существование, так как обеспечивает совместимость оптики «сверху вниз». Кстати, специально для нашего подопечного производитель создал и выпускает адаптер XH, который дает возможность использовать оптику для камер HC и HCD с «беззеркалкой» Hasselblad X1D. Помимо удлинения рабочего отрезка он передает камере электронное управление диафрагмой, спуском затвора и автофокусировкой.
Пэрри Оостинг, бывший глава Hasselblad, в процитированном нами выше интервью упомянул, что оптику для беззеркального «Хасселя» изготавливает японская компания Nittoh. Широкой публике ее продукция вряд ли известна, потому что Нитто работает в основном на космос (оптика для спутников), а из «ширпотреба» производит лишь объективы для систем видеонаблюдения (Theia).
Еще он заявил, что в планах разработки и производства стоят только оптические инструменты с фиксированным фокусным расстоянием, и варианты зумов пока вообще не рассматриваются.
Камера Hasselblad X1D вышла одновременно с двумя объективами новой беззеркальной системы XCD: 45 мм F3,5 и 90 мм F3,2. Первый — умеренно-широкоугольный (эквивалентное фокусное расстояние для полного кадра составляет 35 мм), второй — портретник «ближнего боя» (эквивалентное фокусное 71 мм). Поэтому у тех, кто решился на покупку новинки, сразу было, чем снимать. В 2017 году в линейке XCD появились еще два объектива: широкоугольник XCD 30 мм F3,5 (эквивалент 24 мм) и макрообъектив XCD 120 мм F3,5 (эквивалент 95 мм).
Hasselblad маркирует оптику так, как это было принято в стародавние времена: сначала ставятся показатели максимальной светосилы, а затем через знак дроби — фокусное расстояние. Это не имеет принципиального значения, и мы позволим себе далее поступать так, как принято нынче: сначала фокусное расстояние, затем «F» и показатель максимального раскрытия диафрагмы.
Из четырех объективов, которые сегодня можно приобрести для Hasselblad X1D, нам довелось испытать возможности этой камеры с двумя наиболее ранними — 45 мм и 90 мм. Остановимся на них подробнее.
Производитель не указывает, какие элементы входят в состав оптических схем объективов Hasselblad, но сами схемы предоставлены в наше распоряжение, равно как и графики MTF (Modular Transfer Function, или частотно-контрастной характеристики). Упомянем здесь и сейчас самое простое правило трактовки MTF: чем выше по вертикали располагаются линии и чем они более плавные и менее кривые, тем лучше. Подробнее о том, как это читать и понимать, см. в статье Назыма Мансурова на PhotographyLife (на английском) и пространной цитате материала Ивана Ефремова в блоге Дмитрия Евтифеева (на русском).
Hasselblad XCD 45 мм F3,5
Технические характеристики (по данным производителя):
| Полное наименование | Hasselblad XCD 3,5/45mm |
| Фокусное расстояние | 45 мм |
| Эквивалент фокусного расстояния для полного кадра | 35 мм |
| Диапазон диафрагмирования | F3,5 — F32 |
| Угол обзора | 63° |
| Элементов | 9 в 7 группах |
| Минимальная дистанция фокусировки | 40 см |
| Максимальное увеличение | 1:6,4 крат |
| Затвор | центральный |
| Диаметр×длина | ∅77×75 мм |
| Вес | 417 г |
| Средняя цена |
Оптическая схема основана на классическом ретрофокусном дизайне: рассеивающая, корректирующая и собирающая линзы расположены в обратном порядке по отношению к классическому телеобъективу. Вероятно, далеким предком Hasselblad XCD 45 мм F3,5 можно считать Carl Zeiss Distagon для Hasselblad 1000F, созданный в 1954-м. Но еще сильнее схема напоминает знаменитый Schneider Super Angulon. Впрочем, удачные конструкции в оптике очень живучи; с небольшими вариациями они часто заимствуются производителями друг у друга.

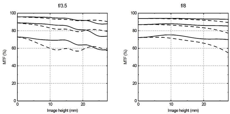
Посмотрим на графики MTF объектива Hasselblad XCD 45 мм F3,5 при фокусировке «на бесконечность».
Нужно сказать, что такое увидишь нечасто: очень высокий процент и при максимальном раскрытии, и при диафрагмировании до F8. Что касается искажений, то по следующему графику видно, что они выражены весьма слабо (не более 0,7%).

Похоже, объектив дает нам возможность получить изображение весьма высокого качества. Это мы проверим в ходе испытаний в нашей лаборатории и в «полевом» тесте практической фотосъемки.
Hasselblad XCD 90 мм F3,2
Второй наш оптический инструмент из арсенала XCD — умеренный телевик (скажем даже, очень умеренный) с фиксированным фокусным расстоянием. Его можно использовать и для съемки портретов, и для многих других съемочных ситуаций как замену привычным для формата 35 мм и широко распространенным объективам с фокусным расстоянием 50—60 мм.
Технические характеристики (по данным производителя):
| Полное наименование | Hasselblad XCD 3,2/90mm |
| Фокусное расстояние | 90 мм |
| Эквивалент фокусного расстояния для полного кадра | 71 мм |
| Диапазон диафрагмирования | F3,2 — F32 |
| Угол обзора | 34° |
| Элементов | 10 в 8 группах |
| Минимальная дистанция фокусировки | 70 см |
| Максимальное увеличение | 1:6 крат |
| Затвор | центральный |
| Диаметр×длина | ∅77×100 мм |
| Вес | 619 г |
| Средняя цена |
Оптическая схема напоминает нам о знаменитом Carl Zeiss Sonnar, правда, изрядно модифицированном: судя по всему, разработчики добавили несколько элементов, корректирующих недостатки оптики. Впрочем, всё это спекуляции и игра в терминологию, а нам не слишком важно ни то, ни другое.

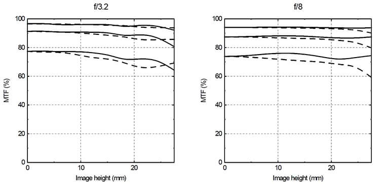
Картина MTF еще более завидная, чем в случае с Hasselblad XCD 45 мм F3,5, и это интригует. По-видимому, с оптикой случилось что-то чудесное.
Дисторсия, исходя из графика ниже, минимальная, и это тоже очень импонирует.

О конкурентах
На момент публикации этого материала у нашего подопечного был лишь один полноценный соперник — среднеформатная цифровая беззеркальная камера Fujifilm GFX 50S, которая вышла спустя полгода после нашего «Хасселя». Кстати, через неделю после анонса среднеформатной БЗК японского производителя (точнее, 27 января) Перри Оостинг, генеральный директор Hasselblad, заявил о своей отставке. На посту высшего должностного лица Hasselblad его сменил Пауль Брам. Если это просто совпадение, то уж слишком знаковое.
| Hasselblad X1D | Fujifilm GFX 50S | |
| Дата анонса | 22 июня 2016 г. | 19 января 2017 г. |
| Сенсор | КМОП (CMOS) 51,3 Мп¹ (8272×6200) | КМОП (CMOS) 51,1 Мп² (8256×6192) |
| Размер сенсора | 43,8×32,9 | 43,8×32,9 |
| Выдержки | 1/2000 с — 60 мин. с объективами XCD | 1/4000 с — 60 мин. (механический затвор) 1/16000 с — 60 мин. (механический + электронный затвор) |
| Минимальная выдержка X-синхронизации | 1/2000 с | 1/125 с |
| Скорость серийной съемки | 1,7—2,3 к/с | 3 к/с в JPEG, 1,8 к/с в RAW |
| Диапазон эквивалентной светочувствительности | ISO 100 — 25600 | ISO 100 — 12800 (с расширением до ISO 102400) |
| Автофокус | контрастный, 35 зон | контрастный, 117 зон |
| Экспокоррекция | ±5 EV c шагом 1/3 EV или 1/2 EV | ±5 EV c шагом 1/3 EV |
| Формат записи фото | RAW 3FR 16 бит, TIFF 8 бит, JPEG | RAW RAF 14 бит, TIFF 8 бит, JPEG |
| Формат записи видео | 1920×1080 25 fps | 1920×1080 30 fps |
| Стабилизация изображения | нет | нет |
| Карты памяти | SD/SDXC UHS-I | SD/SDXC UHS-I/UHS-II |
| Дисплей | 3.0″ сенсорный фиксированный, 0,92 млн пикселей | 3,2″ сенсорный поворотный, 2,36 млн пикселей |
| Видоискатель | электронный, 2,36 Мп | электронный, 3,69 Мп |
| Разъемы и интерфейсы | USB 3.0, HDMI, Wi-Fi, аудио (вход и выход), «горячий башмак» | USB 3.0, HDMI, Wi-Fi, аудио (вход и выход), разъем пульта ДУ, разъем питания, «горячий башмак», разъем синхронизации |
| Размеры | 150×98×71 мм | 148×94×91 мм |
| Вес | 725 г | 920 г |
| Цена³ | $8995 | $6500 |
² 8256×6192 = 51 121 152 пикселя (данные Fujifilm — 51,4 Мп)
³ приведены цены в США по bhphotovideo.com
Fujifilm GFX 50S крупнее и тяжелее, не поддерживает синхронизацию со вспышкой во всем диапазоне выдержек, но зато может оперировать этими выдержками на две ступени короче (до 1/16000 с в режиме электронного затвора). У нее откидной и поворотный тач-дисплей, есть возможность подключить адаптер питания для работы от сети в студии и много полезных мелочей. Набор оптики более широк, и в нем есть зум-объектив (Fujinon GF 32-64mm f/4 R LM WR). Что касается матрицы, то по размерам она такая же, а по числу пикселей — почти такая же (если быть точными, то на 165 348 пикселей меньше), как у Hasselblad X1D-50C. Но главным, критически важным отличием Hasselblad X1D остается то, что она дороже почти на $2500 — на стоимость одного объектива Fujinon. То есть за те же деньги в комплекте среднеформатной БЗК Fujifilm может появиться еще и оптика, а за объектив Hasselblad придется платить отдельно, более солидную сумму, чем за сравнимые оптические инструменты Fujinon. Говоря по совести, японцы нанесли шведам серьезный конкурентный удар.
Лабораторные тесты
Мы исследовали свойства сенсора камеры Hasselblad X1D путем анализа снимков тестового стенда при выключенном фильтре шумов в светлой и темной сценах. Ниже представлены снимки серой шкалы для оценки переносимости повышающихся значений ISO.
Можно сделать вывод, что в светлой сцене шумы остаются приемлемыми вплоть до ISO 6400, в темной — до ISO 1600. По графику, представленному ниже, об этом можно составить более четкое представление.

Вплоть до ISO 3200 шумы почти не вызывают значимого падения разрешающей способности, и сенсору удается воспроизводить 90% информации. Значимые данные не маскируются шумами до неузнаваемости вплоть до ISO 12800, но уже на этом значении эквивалентной светочувствительности начинается довольно заметная деградация цветов. До ISO 3200 включительно ситуация почти идеальная. С файлами в JPG ситуация еще более демонстративная, поскольку на этих сжатых файлах разрешение почти достигает 100-процентной отметки. Это не парадокс и не чудо: внутрикамерный JPEG у Hasselblad X1D в четыре раза уменьшен по количеству пикселей по сравнению с RAW. Видимо, камера таким образом экономит ресурсы мощности. Известно, что, уменьшая размер снимка, мы повышаем его относительное разрешение, поэтому (теоретически) можно было бы и пересечь отметку «100%». Но это уже не будет отражать действительного положения дел. Вот, кстати, что происходит при таком уменьшении.
Линии в два пикселя толщиной становятся более грубыми и четкими, дефектная область на мире уменьшается в размере пропорционально снимку, и как следствие, снимок выглядит более детализированным, а разрешающая способность сенсора, определенная в таких условиях, увеличивается. Любопытно, что подобным трюком завышения показателей разрешающей способности пользовались некоторые производители смартфонов.
Обладая лишь контрастными датчиками автофокусировки, Hasselblad X1D, конечно же, уступает по работе автофокуса при пониженной освещенности тем аппаратам, в которых имеются фазовые датчики. К тому же обнаружение и анализ контрастных зон на матрице большего размера — дело более хлопотное и длительное, чем у полноформатных систем или камер с сенсорами типоразмера APS-С. Для репортажной фотографии Hasselblad X1D едва ли подойдет, но зато автофокус у нее действительно «цепкий».
| Контрастный (гибридный) АФ | Hasselblad X1D | Canon EOS 1D X Mark II | Fujifilm X-Pro2 | Sony RX-100 IV | Canon EOS 7D Mark II |
| Точность | 9,4 | 9,8 | 9,3 | 7,4 | 9,2 |
| Скорость | 1,0 | 1,8 | 2,5 | 3,4 | 1,6 |
Объектив Hasselblad XCD 45 мм F3,5 позволяет получить разрешающую способность до 90% от максимального раскрытия диафрагмы до примерно F10. Дальнейшее диафрагмирование приводит к падению резкости, но опять-таки, не слишком критическому, потому что даже при F22 разрешающая способность остается на уровне 70%. Заметим, что в отличие от большинства других оптических инструментов, у этого нашего подопечного разрешение по краям кадра практически не отстает от разрешения в центре. Редкий объектив может похвастать такой высокой стабильностью резкостных свойств начиная с максимально открытой диафрагмы.

Хроматические аберрации в заданных условиях тестовой съемки зрительно не выявляются ни в центре кадра, ни на его краях. Видна весьма слабая бочкообразная дисторсия, которая почти не портит общей картины и к тому же эффективно исправляется наложением профиля при постобработке в Phocus.
Объектив Hasselblad XCD 90 мм F3,2 позволяет рассчитывать на 90-процентную разрешающую способность на полностью открытой диафрагме. При диафрагмировании до средних значений от F4 до F8 резкость увеличивается и составляет около 93%, хотя в центре она ощутимо выше, чем на периферии кадра. При дальнейшем уменьшении относительного отверстия разрешение начинает снижаться (до 82% при F16) и падает до 70% при F22. Зато разница между центром и краями кадра практически нивелируется.

В отличие от широкоугольного собрата, о котором мы рассказали выше, на тестовых снимках, сделанных Hasselblad XCD 90 мм F3,2, можно обнаружить слабые хроматические аберрации, но их влияние на картинку почти несущественное. Дисторсионные искажения выражены слабо: это та же «бочка», столь же малозаметная.
Лабораторное тестирование позволяет заключить, что оба изученных нами объектива удивительно хороши, поскольку стабильная разрешающая способность 90% — это очень высокий результат. Вероятно, оба оптических инструмента могут обеспечить и более высокое разрешение, но это невозможно выявить с помощью сенсора Hasselblad X1D — нужно что-нибудь покрупнее. Хроматическими аберрациями и дисторсией, которые нередко являются бичом даже самых дорогих объективов, в условиях съемки наших стендов можно практически пренебречь.
Практическая фотосъемка
Пожалуй, первое, что приходит на ум, когда работаешь с БЗК Hasselblad X1D в полях, — мысль «какая же она легкая!». Даже с двумя упомянутыми выше объективами эта камера образует компактный и нетяжелый набор, который отлично помещается в небольшой сумке, какими обычно пользуются владельцы недорогих БЗК.
По традиции мы сразу настроили параметры, пригодные для самых разных съемочных задач:
- режим приоритета диафрагмы,
- центрально-взвешенный замер экспозиции,
- однокадровая автоматическая фокусировка,
- центральная зона фокусировки,
- автоматический баланс белого (АББ),
- автоматическая установка эквивалентной светочувствительности,
- верхний предел — ISO 6400.
Для сохранения отснятого материала использовали карты памяти SanDisk SDXC UHS-I емкостью 64 ГБ со скоростью записи до 90 МБ/с.
Снимки в формате RAW (3FR) в пакетном режиме преобразовывали в 16-битный TIFF при помощи «фирменной» программы Phocus (версия 3.2.2), которая предназначена для работы с файлами фотоснимков Hasselblad, а затем таким же образом трансформировали в JPEG с максимальным качеством средствами Adobe Camera RAW. Такая двухступенчатая процедура была выбрана из-за того, что приложения Adobe хотя и читают файлы формата 3FR без видимых сложностей, но, во-первых, не содержат профилей оптики XCD, а во-вторых, не всегда обрабатывают файлы 3FR корректно. После нескольких пробных «проявок» мы убедились в том, что иногда «уплывает» баланс белого, «выбиваются» света и пропадают детали в тенях.
При обработке фото в Phocus 3.2.2 мы использовали только стандартные профили объективов, которые компенсируют дисторсию, хроматические аберрации и виньетирование. Столь распространенные операции, как повышение резкости и насыщенности, изменение контраста и яркости, устранение шумов нами не применялись. В редких случаях немного ослабляли света и тени, но об этом будет сказано отдельно.
Общие впечатления
В руке Hasselblad X1D лежит отлично, лучшего и желать не следует: видно, не зря так старались свены из Гётеборга. Правая кисть охватывает рукоятку надежно и удерживает камеру комфортно — и через минуту работы инструмент уже становится продолжением руки.
После включения питания камера «приходит в себя» около 10 с. Это довольно большой промежуток времени, что удручает: сюжет, ради которого вы активируете камеру, уйдет. Поэтому лучше во время съемочной сессии отправлять Hasselblad X1D в режим сна коротким, а не долгим нажатием на кнопку выключения, тогда для последующего пробуждения понадобится лишь пара секунд.
Затвор после нажатия кнопки спуска срабатывает с ощутимым лагом (около 1/3 с) и делает это чересчур громко даже по меркам среднего формата. К тому же при этом срабатывании издается не один, а три хлопка: первый — установка прыгающей диафрагмы, второй — собственно срабатывание центрального затвора, третий — возврат всей механики в исходное состояние. Поначалу невозможно понять, когда именно произошло экспонирование кадра, и опустив камеру перед третьим щелчком, мы пугались: а вдруг кадр окажется смазанным?
После того, как нажата кнопка спуска и кадр сделан, дисплей и видоискатель выключаются. Нужно подождать 1-2 с, пока фото не будет сохранено, и тогда камера вновь «оживет» и станет готова к дальнейшей работе.
Интерфейс пользователя приятен, понятен и удобен. К непривычному для камер такого класса меню привыкаешь довольно быстро, хотя недостаток в аппаратных органах управления ощущается отчетливо.
Автофокусировка работает более-менее надежно лишь в условиях хорошего освещения. В музейном полумраке или при наведении на очень яркие объекты автомат с контрастной детекцией может и не отработать, как полагается, и начать рыскать и дрыгаться. В таких случаях приходится перекадрировать сцену, смещая точку фокусировки, а то и вовсе брать на себя ручное управление наведением на резкость. Правда, если уж автофокус зацепился за нужный объект, то с резкостью все будет хорошо.
Если делать хотя бы по два-три снимка в минуту, то через 5-7 минут ручка камеры начинает разогреваться. Понятно, что в этом повинна батарея и поделать с таким феноменом ничего нельзя, но все же это несколько раздражает. Хотя, зимой, например, такой подогрев может оказаться полезным. Кстати, о зиме: производитель гарантирует, что Hasselblad X1D может полноценно функционировать при температуре окружающего воздуха до −10 °C, и как она поведет себя при более низких температурах, пока ничего не известно.
Камера в связке с «родными» объективами герметизирована, то есть защищена от проникновения внутрь влаги и пыли. Возможно, вследствие этого установка и извлечение объективов из байонетного крепления требуют приложения заметных усилий. Если пытаться одновременно нажимать на кнопку разблокировки объектива и пытаться выкрутить его той же рукой, как мы привыкли к этому в мире ЦЗК, то с нашим подопечным такой номер скорее всего не пройдет, и придется звать на помощь вторую руку. Возможно, это даже хорошо с точки зрения надежности и герметичности соединения, но становится досадной помехой, когда нужно быстро заменить один объектив другим, например, в ходе репортажной сессии.
Но все сказанное выше — это лишь внешняя сторона рабочих ситуаций. А теперь о самом главном.
Качество фотографий
Сначала выскажемся осторожно: фотографии, которые позволяет получить Hasselblad X1D, вполне достойны возможностей среднего формата. Во всяком случае, они таковы, каких и ожидают от «Хасселя», а иногда даже лучше.
| Детский парк «Сказка». Крылатское, Москва. Hasselblad XCD 90 мм F3,2; F3,2; 1/125 c; ISO 100 | Среди цветков и цвета. Hasselblad XCD 90 мм F3,2; F3,2; 1/125 c; ISO 100 |
С цветами и их светотональными переходами Hasselblad X1D обращается так, что это впору назвать магией. Конечно, все зависит от конкретной ситуации, от исходной окраски объекта, силы и контрастности освещения и т. д., но это не всё. Что бы ни говорили некоторые «знатоки», есть цифровые фотокамеры, которые нелегко заставить делать то, что нужно фотографу, и лишь провидение ведает, на какие ухищрения приходится идти, чтобы получить от них нечто приемлемое. Но аппарат Hasselblad X1D — это совсем иное: фотографу не нужно просить его поработать, скорее он сам попросит об этом фотографа, безгласно мотивируя его предвкушением отличного результата.
| Богородице-Рождественский собор. Саввино-Сторожевский монастырь. Звенигород Московской обл. Hasselblad XCD 45 мм F3,5; F8; 1/200 c; ISO 100 | Детский парк «Сказка». Крылатское, Москва. Hasselblad XCD 90 мм F3,2; F3,5; 1/2000 c; ISO 100 | Выставочный комплекс «Новый Иерусалим». Истра Московской обл. Hasselblad XCD 45 мм F3,5; F4; 1/50 c; ISO 400 |
Возможно, читатель попеняет нам, предположив, что на некоторых фотографиях (на средней вверху, в частности) мы подняли насыщенность цветов — и будет, как в старом анекдоте, «в корне неправ». Этот снимок, как и все остальные, которыми мы иллюстрируем этот материал, представляют цвета такими, какими они выходят из Phocus, без «украшательств».
Автоматика словно догадывается, следует ли придать объектам в сцене колористический акцент, или же наоборот, несколько пригасить его. Причем, это происходит с обоими объективами, которые мы использовали, и при любом их раскрытии.
Такая магия светотени и цвета дает возможность без долгих приготовлений использовать Hasselblad X1D для фотографирования произведений искусства — живописных, скульптурных, графических, прикладных. Колоризация, полутоновая гамма и контраст на снимках достойны всяческих похвал.
| Иконы XVIII в. Выставочный комплекс «Новый Иерусалим». Истра Московской обл. Hasselblad XCD 45 мм F3,5; F3,5; 1/80 c; ISO 800 | Советский авангард. Выставочный комплекс «Новый Иерусалим». Истра Московской обл. Hasselblad XCD 45 мм F3,5; F3,5; 1/90 c; ISO 800 |
На паре фото, представленных выше, помимо отличной работы с цветом можно проиллюстрировать и высокую резкость объектива Hasselblad XCD 45 мм F3,5, причем, уже на максимальном раскрытии. Автоматике пришлось поднять эквивалент светочувствительности до ISO 800, но шум не мешает нам читать информационные таблички, атрибутирующие иконы на левом снимке; на них различимы даже самые мелкие буквы.
| Концепт-горельеф «Рождение» из скульптурной серии поп-арта Recycling Group. Выставка в ГМИИ имени А.С. Пушкина. Москва. Hasselblad XCD 90 мм F3,2; F3,2; 1/100 c; ISO 400 | Генрих Гольпейн. Портрет Дарьи Сипягиной (1855). Выставочный комплекс «Новый Иерусалим». Истра Московской обл. Hasselblad XCD 45 мм F3,5; F4; 1/60 c; ISO 1600 | Отдыхающая Венера. Усадьба Марии Алексеевны Ганнибал, бабушки А.С. Пушкина. Захарово, Московская обл. Hasselblad XCD 90 мм F3,2; F3,2; 1/180 c; ISO 800 |
На трех снимках выше помимо цвета, которым мы уже восхищались, обращает на себя внимание прекрасное воспроизведение полутонов. Игра светотени передана безошибочно, во всем ее богатстве и плавности переходов. Вот что значит динамический диапазон в 14 EV!
Несколько слов о резкости. Ясное дело, что на нее сильнее влияет оптика, ибо сенсор сам по себе ничего изменить не может. А вот что может сделать с картинкой Hasselblad XCD 45 мм F3,5.
| Храм Рождества Христова, что под горой. Волоколамск Московской обл. Hasselblad XCD 45 мм F3,5; F8; 1/100 c; ISO 100 | Исаак Левитан в выставочном комплексе «Новый Иерусалим». Истра Московской обл. Hasselblad XCD 45 мм F3,5; F3,5; 1/80 c; ISO 3200 |
Несмотря на вялость левого снимка, сделанного в пасмурную погоду за несколько минут до начала дождя, резкость и детализация очень хороши. Да и цвета весьма живые и активные. Собственно, они и спасают этот снимок. Будь он сделан другим оборудованием — был бы без жалости удален.
Справа — иллюстрация высокой резкости на полном раскрытии, да еще при ISO 3200, когда шум уже хорошо заметен. Несмотря на эту помеху, мы отчетливо видим табличку под портретом великого русского пейзажиста Исаака Левитана, и в масштабе 1:1 на ней удается прочесть, что автор портрета — Сергей Михайлович Чехов. Это сын Михаила Павловича Чехова, брата великого русского писателя.
Если внимательно посмотреть на данные снимков, приведенных выше, то можно заметить, что камера не всегда логично выставляет экспопару. Напомним, что снимали мы только в режиме приоритета диафрагмы (A). Это означает, что автомат сам выбирает выдержку и чувствительность. Заметим, что это часто происходит не на пользу делу. Вот фото с иконами XVIII в.: фокусное 45 мм, 1/80 с; ISO800. Для съемки без «смаза» достаточно 1/50 с, и тогда можно было удержать ISO 400. То же самое на правом фото («Советский авангард»). Ниже, справа, — «Отдыхающая Венера». Фокусное 90 мм; выдержка 1/180 с; ISO 800. Почему не 1/100 с и ISO 400? А на только что рассмотренном фото с выставки Левитана при 45 мм 1/80 c и ISO3200. Не лучше ли 1/50 с и ISO 1600? Пожалуй, что-то не в порядке с алгоритмом.
| Живописный мост. Москва. Hasselblad XCD 90 мм F3,2; F8; 1/200 c; ISO 100 | Музей-усадьба Вязёмы. Московская обл. Hasselblad XCD 90 мм F3,2; F3,2; 1/2000 c; ISO 100 |
Резкость и в центре, и на периферии кадров показательная, причем, как на полностью раскрытой диафрагме (справа), так и при F8 (слева). ДД весьма широк, и хорошо различимы детали как в ярких светах, так и в глубоких тенях изображения.
При раскрытии диафрагмы от максимального до примерно F5,6 оба объектива, с которыми мы работали, демонстрируют хорошо заметную виньетку. Она без следа удаляется в «фирменном» приложении Phocus, но не в Adobe Camera RAW (как сказано выше, из-за отсутствия профилей). На просмотровых JPEG камера почему-то не корректирует это виньетирование — скорее всего, бережет силы для более важной работы.
Однако вернемся к иллюстрациям широкого ДД. Снимок ниже был сделан в Государственном музее изобразительных искусств имени А.С. Пушкина объективом Hasselblad XCD 90 мм F3,2 при F3,5; 1/160 с; ISO 800. В такой сцене экспонометр не сможет отработать точно, поэтому приходится исправлять огрехи в виде пересветов.
Эта операция была задана в Phocus во время проявки и заключалась в ослаблении светов на 50%. В терминах экспонометрии это следует понимать как уменьшение экспозиции (но только в светах) на одну ступень. Результат очень хорош.
Иногда, при очень высоком контрасте сцены и выборе неподобающего режима экспозамера, прорабатываются лишь светлые зоны кадра, а все то, что оставалось в тенях, «проваливается» в темноту. Но файл RAW среднеформатной Hasselblad X1D содержат достаточное количество информации и самых темных зонах сцены, поэтому при постобработке можно запросто поднять экспозицию на пару ступеней. Следующий снимок был сделан в храме Вознесения Господня, что в Звенигороде Московской области объективом Hasselblad XCD 45 мм F3,5 на полном раскрытии при 1/100 с; ISO 100. Первоначальный результат явно неудовлетворительный (слева).
Снимок становится много лучше, если поднять экспозицию на две ступени: проявляется все богатство деталей в тенях (вязь на барабане купола). В сверхконтрастных зонах оконных переплетов видны латеральные хроматические аберрации (фиолетовые). Однако это не столько свойство оптики, сколько последствия возбуждения слабо экспонированных светоприемных ячеек на границах с зонами сверхвысокой яркости. Отрадно то, что последствий проведенной нами операции в виде усиления шума практически не видно.
Теперь о шумах подробнее. Честно говоря, поднимать при съемке значения эквивалентной светочувствительности выше ISO 6400 мы в ходе практической съемки пока еще не привыкли (очень жаль испорченных кадров). При разрешенном значении увеличения эквивалентной светочувствительности Hasselblad X1D позволяет получать фото весьма высокого качества. Пара снимков внизу сделаны при искусственном свете. Исходно внизу слева была достаточно яркая сцена, справа — темная.
| Магазин сувениров. Истра Московской обл. Hasselblad XCD 45 мм F3,5; F8; 1/80 c; ISO 6400 | ГМИИ имени А.С. Пушкина. Москва. Hasselblad XCD 90 мм F3,2; F3,2; 1/125 c; ISO 6400 |
Результат явно превосходит ожидания. Шум, конечно, есть, и он довольно выраженный, особенно если рассматривать снимки в масштабе 1:1. Но сама его структура вполне терпимая: основную массу артефактов составляют монохромные элементы, которые создают подобие зернистости высокочувствительной фотопленки (это даже можно иногда использовать как художественный прием). Шум на ISO 6400 в выбранных нами сценах все еще позволяет сохранить изрядное количество деталей и почти не коверкает цвета.
И напоследок приведем пару примеров студийных фото. В конце концов, «Хассели» — это камеры не только для фанатов, но и для прагматичных «профи». И хотя БЗК Hasselblad X1D адресована также и «продвинутым» любителям, студия — традиционное место обитания таких фотоинструментов. Заметим, что в ходе студийной съемки мы (опять-таки по привычке) не доверили сложную работу автоматике: экспозицию определяли флешметром и выставляли все параметры вручную.
| София. Hasselblad XCD 90 мм F3,2; импульсный свет (два источника с рассеивателями и отражателями); F4,5; 1/90 c; ISO 200 | Снимаем кино. Hasselblad XCD 45 мм F3,5; отраженный свет монолайта с галогеновым источником; F4,5; 1/90 c; ISO 3200 |
Резкость — выше всяких похвал. Баланс белого точен. Камера отлично передает специфику света разного происхождения, как импульсного, так и постоянного. При точном определении экспозиции удается получить необходимое количество деталей как в тенях, так и в светах, использовать богатство полутонов и мягкость переходов светотени, равно как и обеспечивать высокий контраст в других сценах в соответствии с замыслом фотографа.
Итоги
Hasselblad X1D-50C — первая в мире беззеркальная среднеформатная камера. Она спроектирована и изготавливается вручную в Гётеборге (Швеция). Камера надежна в работе, удобна в обращении, легка и компактна. Снимки, получаемые с помощью Hasselblad X1D, отличает высочайшее качество. Они наполнены насыщенными цветами и тончайшими переходами светотени.
Новая линейка оптики XCD, предназначенная для работы с Hasselblad X1D, обладает отличной резкостью и позволяет фотографу радоваться лучшим снимкам, которые возможны только в цифровом среднем формате.
Отзывчивость автоматики в основном удовлетворительная, но значительный лаг затвора и его шумное срабатывание, неторопливый автофокус, невысокая скорость серийной съемки не позволяют рассчитывать на адекватность камеры при репортажной съемке. Неспешность — вот девиз, который нужно взять на вооружение при работе с нею.
Высокие результаты, показанные Hasselblad X1D в нашей лаборатории и при практической съемке в реальных условиях, позволяют рекомендовать ее для фотографирования пейзажей с обильной детализацией и большими перепадами яркости, а также для портретов с их высокими требованиями к осторожной работе с цветом и мягкости светотональных переходов.
Мы убеждены, что эта беззеркальная среднеформатная камера вполне достойна стать желанным приобретением как профессионала, так и энтузиаста-любителя фотографии, особенно в том случае, если марка Hasselblad означает для них многое.
Галерея фотографий
Приведенные в материале снимки и другие фото можно посмотреть в галерее. Авторский альбом с фотографиями, снятыми с помощью камеры Hasselblad X1D, находится здесь: http://ixbt.photo/?id=album:60158
В заключение предлагаем посмотреть наш видеообзор среднеформатной камеры Hasselblad X1D-50С:











































































































































































































































